Lecții de siguranță de la polițiști pentru cei mai mici participanți la trafic - 8 ore în urmă
Final de sezon pentru junioarele 3 de la CS Marta - 8 ore în urmă
Cum începea legenda Nadiei: cinci medalii la Europenele din 1975 - 8 ore în urmă
Încă o înfrângere pentru ACS Fotbal Feminin Baia Mare - 11 ore în urmă
Preasfințitul Părinte Timotei Sătmăreanul a slujit în mijlocul credincioșilor Parohiei Ortodoxe Cătălina-Coltău - 11 ore în urmă
Colegiul Național „Gheorghe Șincai” Baia Mare, din nou pe podium! Elevii de gimnaziu au obținut premii la Concursul Interjudețean „Gramatica- știința vorbirii, Matematica- știința gândirii” - 11 ore în urmă
Parada Absolvenților 2026: absolvenții băimăreni sunt invitați să își aleagă artiștii favoriți în cadrul festivității - 12 ore în urmă
Amenzi de peste 15.000 de lei plus permise și certificate de înmatriculare reținute - 13 ore în urmă
Expoziția aniversară „Arta băimăreană 130 (1896-2026)” va fi vernisată la Muzeul Județean de Artă din Baia Mare - 13 ore în urmă
Echipa de fotbal feminin a Școlii Gimnaziale „Avram Iancu” Baia Mare s-a calificat la etapa națională a Olimpiadei Naționale a Sportului Școlar - 15 ore în urmă
Dr. Tiberiu Alexa: Artiști și Toposuri. Un compendiu de istorie culturală în imagini a Centrului Artistic Baia Mare 1896-2021 (XIX)
ARTISTI ȘI TOPOSURI. Un compendiu de istorie culturală în imaginia Centrului Artistic Baia Mare 1896-2021 (XIX)
16. EVOLUȚIA ISTORICĂ GLOBALĂ (II) – COLONISMUL ȘI COLONIA TEMPORARĂ (1)
Dr. Tiberiu Alexa

Ilustrația 1: Baia Mare,«Galeria Hollósy» în complexul expozițional și de ateliere «Colonia Pictorilor»,mai2019:expoziția tematică retrospectivă «Capodopere muzeale. Restaurări și achiziții 2007-2019», fotograf: Tiberiu Alexa, prelucare digitalizată, colecție privată, Baia Mare

Ilustrația 2: Baia Mare, «Galeria Hollósy» în complexul expozițional și de ateliere «Colonia Pictorilor», mai 2019: expoziția tematică retrospectivă «Capodopere muzeale. Restaurări și achiziții 2007-2019», fotograf: Tiberiu Alexa, prelucare digitalizată, colecție privată, Baia Mare
STATISTICILE STRUCTURILOR DE PARTICIPARE (2):
COLONIA TEMPORANĂ (1)
A.
- 1896-1901: Școala Hollósy. Ponderea majoră a aparţinut coloniştilor temporari, categorie ce include studenţii Şcolii lui Hollósy, după cum şi un număr de artişti deja formaţi care, între 1896-1901, au luat parte la programele de vară ale coloniilor organizate, de regulă, între lunile mai – septembrie. Eminamente internaţională, structura multietnică a grupurilor de colonişti temporari conferă procesului de geneză a fenomenului artistic băimărean o anvergură europeană.
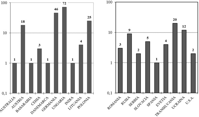
Graficele 4-5:Repartiția națională a participanților la coloniile băimărene din vremea sezoanelor Școlii Hollósy 1896-1901După cum consemnează reprezentările din graficele 4-5, această anvergură se concentrează asupra arealului Europei Centrale şi de Răsărit, şi sugerează implicaţii multiculturale care abia dacă pot fi întrezărite, astăzi, printre luminile şi umbrele unei imagini focalizate aproape exclusiv asupra componentei artistice maghiare.Este interesant de observat cum tocmai structura internaţională a participanţilor la coloniile hollósyene de la Baia Mare reprezintă, poate, cea mai surprinzătoare şi semnificativă omisiune care se comite sistematic, de peste un secol, în istoriografiile naționale europene (cu precădere în cele românească și maghiară). Cele câteva excepții – cu restituirea unor liste (Réti, István, A nagybányai…, pp. 163sqq.; Mezei, Otto, Nagybánya…, pp. 83-87; Şorban, Raoul, O viață de artist…, pp. 199-201), ori prin câteva abordări analitice (Şorban, Raoul, O viață de artist…, passim; Szatmári, Gizella, Külföldi növendékek Nagybányán…; Alexa, 2004), abia dacă pot oferi o vagă sugestie despre amploarea şi semnificaţiile originare ale naşterii fenomenului artistic de la Baia Mare.
Ilustrația 3: Baia Mare, «Galeria Hollósy» în complexul expozițional și de ateliere «Colonia Pictorilor», mai 2019: expoziția tematică retrospectivă «Capodopere muzeale. Restaurări și achiziții 2007-2019», secțiunea «Modelul inițiatic: sinteza realist–impresionistă: 1886-1911», fotograf: Tiberiu Alexa, prelucare digitalizată, colecție privată, Baia MareCartografierea transnațională constituie premisa descifrării, în adâncime, a adevăratei configuraţii culturale ce derivă din structura de participare în coloniile artistice băimărene, aşa cum a polarizat-o această fascinantă personalitate care a fost Simon Hollósy. Şi rămâne interesant de analizat cum peste marea diversitate etnică şi de identităţi culturale naţionale, reunite la Baia Mare pe parcursul a şase ani, s-au aşezat un proces instructiv–educativ modern şi proceduri de creaţie artistică comune care vin să exprime – înainte de toate – un proces esenţial pentru înţelegerea modernismului european, proces pe care istoriografia canonică de până acum îl expediază pe nedrept la periferia interesului ştiinţific: difuzarea transfrontalieră, „internaționalizată”, anoilor achiziţii conceptuale de ordin cultural–artistic şi a procedurilor ce le sunt proprii. În tot cazul, există de acum temeiuri solide care să legitimeze reconsiderarea radicală a acestor primi şase ani din istoria mişcării artistice de la Baia Mare dintr-o perspectivă clar transnaţională și eminamente paneuropeană.
Ilustrația 4: Baia Mare – grup de coloniști temporari de la München și Budapesta (rândul de sus, de la stânga: Simon Hollósy, Béla I. Grünwald, Sándor Kubiny, Gyula Szeremley, Sándor Nyilasy / rândul de jos: Valer Ferenczy, Károly Ferenczy, Béla Horthy, Cezar Herrer y Macher, Pál Benes)și un colonist permanent băimărean (István Réti), cursanți ai «Școlii private de pictură Simon Hollósy», iunie 1897• fotograf necunoscut, albumină argentică pe hârtie maruflată pe carton (14,8 x 20 cm.), 11,9 x 16, 2 cm., colecție privată, București, prelucare digitalizată.Dintre numele de notorietate în arta europeană care au ucenicit la Baia Mare sub îndrumarea lui Simon Hollósy ne mărginim să enumerăm aici – cu titlu de eşantion exemplificator – pe polonezii Jan Antonin Austen, Szymon Buchbinder, Konrad Krzyżanovski, Leo Kaufman Kamir, Marian Olszewski, Michał du Laurens şi Edmund Okuň, elveţienii Max Buri, Hans Emmenegger și Carl Friedrich Felber, lituanienii Mstislav Dobujinski şi Benedikt Kubicky, ucrainenii Ossip E. Braz și Zinovii I. Grzhebin, austriecii Leonard Kober, Ada Löwith Gross, Josef Engelhart şi Richard Gerstl, basarabeanul devenit cetăţean român Moissei (Moshe) Kogan, cehii Marie Provazkova Lanow și Emil Uhl, slovacii Viktor Belányi şi Elemer Hradil–Hallász, nemţii Jakob Nusbaum, Betty Heldrich, Konrad von Kardoff, Emil Pottner, Gustav Jagerspacher şi Alexander Liebmann.COLONIA TEMPORARĂB - 1902-1944. Această secvență cronologică încorporează colonizările temporare petrecute sub tutela – și prin activitățile promovate de primele trei dintre componentele structurii instituționale ale învățământului artistic propriu-zis băimărean: Școala Liberă de Pictură (1902-1927), Școala de Arte Frumoase (1927-1934; 1940-1944) și Școala Liberă de Arte Frumoase (1935-1940).

Ilustrația 5: Baia Mare, «Galeria Hollósy» în complexul expozițional și de ateliere «Colonia Pictorilor», mai 2019: expoziția tematică retrospectivă «Capodopere muzeale. Restaurări și achiziții 2007-2019», secțiunea «Primul val tradiționalist: 1908-1923», fotograf: Tiberiu Alexa, prelucare digitalizată, colecție privată, Baia Mare
După 1902, serii de colonişti temporari au continuat să frecventeze anual colonia băimăreană, dar ieşirea din joc a personalităţii lui Simon Hollósy (precum şi a Şcolii sale müncheneze) au determinat câteva transformări de esenţă. Astfel, s-au petrecut două înlocuiri succesive ale centrelor de referinţă/metropole, angajate în parteneriatul cultural–artistic susţinut cu Baia Mare. Intre 1902-1918, respectiv 1940-1944, rolului polarizator iniţial al Münchenului i s-a substituit Budapesta, iar între 1919-1940 şi respectiv din 1944 până astăzi – Bucureştiul.

Ilustrația 6: Baia Mar, 1905 – grup de coloniști temporari de la München și Budapestaîn fața Atelierului «Școlii Hollósy»• fotograf necunoscut, colecție privată, București, prelucare digitalizată.
S-au modificat în consecinţă şi zonele de recrutare a coloniştilor. Faţă de extensia larg europeană din vremea Şcolii Hollósy, ariile de recrutare au fost ajustate în mai multe etape succesive.
În intervalul 1902–1918, principala arie de recrutare a reprezentat-o spaţiul austro-ungar, elementul maghiar dominând autoritar o structură etnică din care totuşi nu absentează componentele naţionale constitutive ale imperiului bicefal. Devenită metropolă de referinţă, Budapesta a alimentat colonia băimăreană cu masive contingente de colonişti temporari recrutaţi dintre studenţii Şcolii de desen după model, iar după 1907 dintre cei ai nou înfiinţatei Şcoli Superioare de Arte Frumoase. Faptul a fructificat oportunităţile oferite, nemijlocit, de activităţile didactice desfăşurate în capitala ungară de Károly Ferenczy şi István Réti. Adică de doi dintre cei pe care Réti însuşi îi clasifică în acel „grup artistic băimărean” care ar fi impus, conform controversabilei aprecieri a aceluiaşi Réti, „validarea, recunoaşterea artei moderne” maghiare.
Accedând la cariere academice oficiale, „băimăreanul colonizat” Károly Ferenczy şi „băimăreanul nativ” István Réti au fost în măsură să organizeze dirijarea din Budapesta a unui impresionant număr de tineri studenţi şi artişti către coloniile temporare de vară de la Baia Mare, colonii ale căror cursuri le-au susţinut ei înşişi, alături de Béla I. Grünwald (până în 1909) şi János Thorma, în cadrul Şcolii Libere de Pictură.
- Perioada 1902-1918

Tabel 1. Distribuția categorială anuală a colonismului la Baia Mare (1902-1914)
Graficul 6.Structura și frecvența dinamicii anuale de participare la colonismul băimărean (1902-1918)

Ilustrația 7: Baia Mare, Atelierului «Școlii Hollósy», iunie 1918 – grup de coloniști temporari de la Școala Superioară de Arte Plastice din Budapesta conduși de István Réti, fotograf necunoscut, colecție privată, Brașov, prelucare digitalizată.
Complementar, prin intermedierea acestor „factori de influență”, mișcarea artistică băimăreană s-a poziționat în raporturi parteneriale (derulate până prin anii deceniului 1940) cu două noi colonii artistice din Ungaria, la a căror naștere și funcționare Baia Mare și-a adus de altminteri contribuții semnificative (oferind pe de o parte know how-ul de model inspirator și un export de resursă umană artistică băimăreană, dar și exercitând funcția de recrutare pentru asigurarea fluxului propriului său colonism temporar – deopotrivă a celui educațional și a celui productiv artistic): colonia de la Kecskemét (întemeiată în 1909-1911, prin „migrarea” unui grup artistic băimărean mentorat de Béla I. Grünwald), respectiv colonia de la Szentendre.
În acest fel, rămâne un fapt că deşi harta zonelor de recrutare a coloniştilor temporari din această vreme include şi reprezentarea altor medii culturale din Transilvania, Slovacia, Ucraina Subcarpatică, Bosnia, Croația, Serbia (dimpreună cu prezența marginală a câte 1-3 artiști proveniți din Germania, Austria, România, Rusia, Elveția, Polonia, Cehia, Franța, Italia), mediul universitar precum şi cel artistic budapestane au dominat net. În privinţa acestor câteva prezenţe provenite din afara spaţiului austro-ungar, este de constatat că ele reprezintă rare şi mai degrabă accidentale excepţii de la o regulă nouă, care abia dacă mai lasă loc amintirii multi culturalismului perioadei hollósyene.Pe de altă parte, un factor de polarizare secundar l-a reprezentat însăşi Şcoala Liberă de Pictură. Între limite numerice variabile, puterea ei de atragere s-a exercitat îndeosebi asupra coloniştilor temporari individuali recrutaţi din mediul cultural maghiar din Ungaria propriu-zisă, din Transilvania istorică şi din comitatele învecinate Băii Mari (Sătmar, Maramureş şi Bihor).
Ilustrația 8: Baia Mare, «Galeria Hollósy» în complexul expozițional și de ateliere «Colonia Pictorilor», mai 2019: expoziția tematică retrospectivă «Capodopere muzeale. Restaurări și achiziții 2007-2019», secțiunea «Primul val avangardist: 1904-1914», fotograf: Tiberiu Alexa, prelucare digitalizată, colecție privată, Baia Mare
După cum evidenţiază statistica din Tabelul 2 şi pictograma din Graficul 6, ponderea principală revine categoriei coloniştilor temporari. Distribuţia dinamicii anuale de particare la coloniile băimărene relevă, pentru intervalul 1902–1918, o marcată tendinţă de creştere generală (cumulativă). Trendul liniei logaritmice a variabilei total colonişti fixează atingerea, la sfârşitul intervalului, a unui nivel de 233% faţă de valoarea iniţială de la începutul acestei serii temporale.

Ilustrația 9: Baia Mare, «Galeria Hollósy» în complexul expozițional și de ateliere «Colonia Pictorilor», mai 2019: expoziția tematică retrospectivă «Capodopere muzeale. Restaurări și achiziții 2007-2019», secțiunea «Al doilea val avangardist: 1908-1923», fotograf: Tiberiu Alexa, prelucare digitalizată, colecție privată, Baia Mare
Distribuţia frecvenţei anuale relevă, totuşi, două direcţii de evoluţie relativ distincte.
Pe de o parte, în cazul coloniştilor permanenţi (vezi în Graficul 7) trendul liniei logaritmice parcurge traseul unei creşteri constante şi accentuate (la circa 300% din valoarea iniţială) pe fondul unor variaţii moderate ale distribuţiei anuale, cu excepţia explicabilă a celor patru ani de război mondial.
Prin comparaţie, putem sesiza o tendinţă diferită în cazul coloniştilor temporari. În ciuda valorilor cantitative absolute, ce ating niveluri de 3 până la de 5 ori mai mari decât cele ale coloniştilor permanenţi, trendul liniei logaritmice prezentată în Graficul 8 relevă o mai moderată tendinţă de creştere, ce urcă la circa 160% din valoarea iniţială a seriei temporale, în vreme ce distribuţia anuală este dominată de variaţii cantitative mai puternice, în contrast cu cele mai moderate ale variabilei colonişti permanenţi.

- Perioada 1919-1940
Intre cele două războaie mondiale centrul de greutate al zonei de recrutare s-a mutat în spaţiul cultural românesc. Preluând funcţiile centrului de referinţă, în perioada 1919-1930, Bucureştiul a exercitat în mod diferit atribuţiile specifice unui factor polarizator al procesului de selectare şi dirijare a coloniştilor temporari către Baia Mare.
Ca urmare a remarcabilului efort organizatoric depus de Ipolit Strâmbu în 1920 şi 1921 (Alexa, Tiberiu, „Ipolit Strâmbu: un proiect inedit de reformare…”), rolul de partener major al Băii Mari artistice a trecut în sfera de acţiune şi competenţe a autorităţii guvernamentale române. Importante programe, susţinute prin aportul financiar fără precedent al Ministerului Cultelor şi Artelor, au fost derulate prin intermediul direcţiilor de specialitate ale Ministerului Comerţului, Băncii Marmorosh & Blank, Societăţii Naţionale a Căilor Ferate Române şi Primăriei „comunei urbane” Baia Mare. Obiectivul lor s-a focalizat tocmai asupra organizării unui mecanism de dirijare şi finanţare bugetară a participării coloniştilor temporari la cursurile de vară băimărene.

Ilustrația 10: Baia Mare, curtea Coloniei Pictorilor, iunie 1922– grup de coloniști temporari de la București și însoțiți de poetul și ministrul Octavian Goga, împreună cu profesorii artiști János Thorma și Alexandru Popp (de la Cluj)• fotograf necunoscut, albumină argentică pe hârtie , 11,4 x 140 cm., colecție privată, București, prelucare digitalizată.
Prin intermediul acestui mecanism, mișcarea artistică băimăreană a susținut raporturi parteneriale cu noi centre cultural–artistice regionale din România reîntregită (București, Iași, Cluj, Chișinău, Timișoara) în special cu Școlile de Arte Frumoase ce funcționau acolo și care au reprezentat principala sferă de recrutare atât pentru colonismul temporar cât și pentru colonismul permanent.
În acest context, personalități de prim-plan ale vieții cultual–artistice și publice românești au interacționat cu mediul artistic băimărean, fie prin mecanisme administrative oficiale, fie pe calea acțiunilor private: artiștii și profesorii Ipolit Strâmbu, G. D. Mirea (1952-1934), Alexandru Popp, Ferenc Ács, Octav Băncilă, Nicolae Tonitza, Ștefan Dimitrescu, Gheorghe Doru Ionescu (1889-1988), politicienii Emil Isac (scriitor și funcționar public: 1886-1954), Octavian Goga (scriitor, prim-ministru, membru titular al Academiei Române: 1881-1931), Alexandru Lapedatu (istoric, profesor universitar, ministru, președinte al Academiei Române: 1876-1950), Ion Minulescu (scriitor, funcționar public: 1881-1934), Petru Groza (jurist, prim-ministru: 1884-1958) ș.a..

Ilustrația 11: Baia Mare, «Galeria Hollósy» în complexul expozițional și de ateliere «Colonia Pictorilor», mai 2019: expoziția tematică retrospectivă «Capodopere muzeale. Restaurări și achiziții 2007-2019», secțiunea «Al doilea val avangardist: 1908-1923», fotograf: Tiberiu Alexa, prelucare digitalizată, colecție privată, Baia Mare
În plan secundar au continuat raporturile parteneriale cu centrul metropolitan Budapesta, în principal – dar nu exclusiv – prin colonizări temporare educaționale ale studenților Școlii Superioare de Arte Plastice, instituție a cărei reformare postbelică a fost concepută și pusă în practică, din 1920, de către „foștii băimărenii” István Réti și Károly Lyka (colonist băimărean, istoric și critic de artă, profesor universitar: 1869-1965).


Tabel 2.Distribuția și frecvența anuală a colonismului temporar și permanent(1919-1940)
Distribuţia și frecvenţa anuală prezentată în Tabelul 3 ne oferă motive suficiente să constatăm că acest program de sprijin guvernamental a fost încununat de succes, întrucât a susţinut reluarea procesului de creştere a frecvenţei de participare a coloniştilor temporari. O altă importantă consecinţă organizatorică a programului de sprijin guvernamental s-a regăsit şi în modificarea procedurilor de recrutare a participanţilor la colonia temporară.

Ea a fost realizată pe două căi: prin selecţionarea studenţilor Şcolilor de Arte Frumoase din Bucureşti, Iaşi, Cluj şi Chişinău la nivelul direcţiunilor acestora, respectiv selectarea la nivel central a solicitărilor individuale adresate şi recomandate direct ministerului.
După cum atestă izvoarele documentare, în primul caz iniţiativa a aparţinut, mai întâi, Asociaţiei elevilor Şcoalei de Belle Arte din Bucureşti (1919) şi Asociaţiei elevilor Şcoalelor de Belle Arte din România (organizaţia studenţească naţională de profil rezultată prin fuzionarea, la 14 mai 1920, a asociaţiilor şcolilor superioare de arte din Bucureşti şi Iaşi). Din 1922 selecţionarea a trecut exclusiv în sarcina competenţelor şi responsabilităţilor corpului academic şi direcţiuniunilor instituţiilor de învăţământ superior, iar atribuţiunile legate de selecţionarea solicitanţilor individuali au fost exercitate direct la Ministerul Artelor (reorganizat, apoi, în diverse formule comasând Cultele și Instrucțiunea Publică) de către directorul Direcţiei Artelor (funcție exercitată din 1922 de scriitorul Ion Minulescu), cu avizul ministrului de resort.
Datorită acţiunii acestor mecanisme, ale căror efecte incontestabile sunt reflectate în valorile statistice ale seriei temporale 1919–1940 așa cum sunt consemnate în Tabelul 3, rezultă cu limpezime că activităţile colonismului temporar băimărean cu funcţii didactice susţinute acum, instituţional, de Şcoala Liberă de Pictură, aveau să-şi trăiască epoca de glorie între 1922-1930.
Faptul este figurat clar, mai sus, în Graficul 9, unde observăm cum, după o trecătoare perioadă de declin înregistrat între 1919 şi 1922 (desigur în contextul generalelor prefaceri din România post–Trianon-ului), valorile cantitative pe care le înregistrează variabila colonişti temporare atinge pragurile maxime din intervalul de timp precedent, pentru ca în perioada 1924–1928 să depăşească maxima absolută de până atunci (107 în 1918).

Ilustrația 12: Baia Mare, poiană pe Dealul Crucii, august 1927 – grup de coloniști temporari de la Cluj, Chișinău, București și Budapesta în excursie de documentare și divertisment, însoțiți de inspectorul ministerial și poetul Ion Minulescu împreună cu artiștii profesori János Thorma și János • fotograf necunoscut, colecție privată, București, prelucare digitalizată.
În antitetiteză, a doua decadă a intervalului înaugurează din 1931 un trend regresiv ce a atins în 1939 minima istorică înregistrată până atunci: 9 coloniști temporari). Procesul s-a petrecut sub influența încetării finanțărilor guvernamentale de susținere a colonizărilor studențești românești la Baia Mare, desigur în contextul „sacrificiilor bugetare” cauzate de impactul crizei economice interbelice. Cum vom vedea, el a deschis ciclul de descreștere prelungită al colonismului temporar băimărean care a avut de depăsit perioada critică a anilor deceniilor 1930-1950.

Ilustrația 13: Baia Mare, «Galeria Hollósy» în complexul expozițional și de ateliere «Colonia Pictorilor», mai 2019: expoziția tematică retrospectivă «Capodopere muzeale. Restaurări și achiziții 2007-2019», secțiunea «Al treilea val avangardist: 1920-1933», fotograf: Tiberiu Alexa, prelucare digitalizată, colecție privată, Baia Mare
Și totuși rămâne semnificativă constatarea că, în contrast comparativ relativ cu imaginea din Graficul 9, în imaginea din Graficul 10 avem de observat cum atât trendul progresiv (1921–1925), cât şi cel regresiv declanşat din 1931, proiectează stadiile evoluţiei interbelice ale colonismului temporar pe fundalul unei pronunţate stabilităţi a colonismului permanent.

Această dublă tendinţă, divergentă în esenţa ei, anunţă începutul procesului de mutare a centrului de greutate în viaţa artistică băimăreană: dinspre colonismul temporar înspre cel permanent.

Ilustrația 14: Baia Mare, iulie 1926 – grup de coloniști temporari de la București și Budapesta în curtea Coloniei Pictorilor.
Cauza majoră trebuie căutată în împrejurările în care, începând cu anul 1931, s-a petrecut o schimbare semnificativă în raporturile dintre Bucureşti şi Baia Mare. Pe fondul asprelor consecinţe ale recesiunii economice, a încetat derularea programului guvernamental român de susținere a colonismului temporar băimărean în împrejurări care, deşi nu sunt încă pe deplin elucidate, au fost neîndoielnic legate de evenimentele interne petrecute în viața comunității artistice băimărene, în vara și toamna anului 1927: retragerea lui János Thorma de la conducerea învăţământului local, închiderea Şcolii Libere de Pictură şi transmiterea fostelor responsabilităţi directoriale şi profesoraleale acesteia către András Mikola, János Krizsán și Samuel Börtsök în cadrul nou înfiinţatei Şcoli de Arte Frumoase.

Ilustrația 15: Baia Mare, Câmpul Claustrului, iulie 1930 – grup de coloniști temporari de la București și Cluj.
Încetarea alocării fondurilor guvernamentale, precaritatea susținerii materiale din partea administrației publice locale, precum şi lipsa de prestigiu pedagogic şi artistic a noilor profesori au făcut ca declinul rapid al învăţământului artistic băimărean să se reflecte şi într-un accentuat regres al colonizărilor temporare. Mai mult, o serie de conflicte interne care au determinat Comitetul interimar al Primăriei local să dizolve Societatea Pictorilor Băimăreni (în 1935), iar apoi să reorganizeze colonia permanentă şi Şcoala (între 1935-1937).
Aceste circumstanțe au creat o situaţie complicată în administrarea vieţii artistice băimărene. Fondate într-o astfel de atmosferă tensionată, Şcoala Liberă de Arte Frumoase şi Societatea Artiştilor Plastici din Baia Mare nu au izbutit să facă faţă presiunilor interne. Seria de procese care a urmat constituirii noilor instituţii s-a prelungit până în 1940 şi, fără să fi fost finalizată vreodată pe deplin, a produs un impact negativ ce s-a regăsit într-o instabilitate vizibilă a funcţionării mecanismelor instituţionale.
Există toate motivele să apreciem că această instabilitate va fi fost responsabilă, în mare măsură, de diminuarea drastică a numărului coloniştilor temporari. Pe de altă parte, un oarecare rol adiacent pare să fi jucat şi reactualizarea, în anii deceniului 1930, a demersurilor iniţiate la nivelul Ministerului Artelor (încă din 1923), pentru întemeierea la Balcic (conform unui document ministerial încă inedit, păstrat la Arhivele Naționale București, Fond Ministerul Artelor, dosar 847/1923, doc. nr. 33215/23 iunie 1923) a unei„colonii–şcoală de plin aer, în felul aceleia de la Baia Mare”, colonie care deși s-a constituit cu adevărat într-un pol esențial al artei românești interbelice (inclusiv prin susținere financiară guvernamentală), niciodată nu a ajuns să își aproprieze și preconizatul statut educațional specific pentru o„…şcoală de plin aer, în felul aceleia de la Baia Mare”.
Datorită acestor circumstanţe, observăm cum tocmai acest complex de împrejurări conjuncturale conține acei factori perturbatori care aveau să genereze nu doar deteriorarea gravă, după 1931, a capacităţii de polarizare a mişcării artistice de la Baia Mare, dar au și alimentat criza de evoluţie a întreagii vieţi artistice locale în anii ‘30–‘40, aşa cum bine sesizase cu ani în urmă, fără însă să identifice şi motivaţiile interne, istoricul clujean Negoiţă Lăptoiu (Lăptoiu, 1978).
Concretizarea statistică a acestei evoluţii rezultă cu precizie din imaginea înfăţişată în Graficul 11

Concretizarea statistică a acestei evoluţii rezultă cu precizie din imaginea înfăţişată în Graficul 11 de trendul liniei logaritmice care, în ciuda maximei atinse anii deceniului 1920 de colonismului temporar, marchează un parcurs drastic descendent al totalului populaţiei artiştilor ce atinge în finalul intervalului 1919–1940 cu puțin peste 40% din valoarea cantitativă iniţială a acestei serii temporale. Înregistrăm trei cicluri distincte: unul al creşterii între 1919-1925 (Ciclu A), un al doilea întrucâtva echilibrat între 1925-1928 (Ciclul B), şi, respectiv, un al treilea net descrescător între 1929-1940 (Ciclu C) – când numărul cursanţilor din învăţământul local a cunoscut o diminuare drastică, iar infuzia de studenţi şi artişti din afară a scăzut, treptat, la un prag critic.

Ilustrația 16: Baia Mare, «Galeria Hollósy» în complexul expozițional și de ateliere «Colonia Pictorilor», mai 2019: expoziția tematică retrospectivă «Capodopere muzeale. Restaurări și achiziții 2007-2019», secțiunea «Al patrulea val avangardist: 1927-1949», fotograf: Tiberiu Alexa, prelucare digitalizată, colecție privată, Baia Mare
Cifrele corespunzătoare deceniului patru evidenţiază vizibila degradare a atractivităţii coloniei temporare băimărene.
Prin efectele corozive ale acţiunii factorilor de presiune mai sus amintiţi, această instituţie avea să plătească preţul anulării majorităţii oportunităţilor, fructificate în precedentele trei decenii, într-un context în care deceniul patru (al anilor 1930) a fost unul de criză generalizată.
O criză care a reverberat şi la Baia Mare pe fondul pauperizării economice, disfuncţiilor sociale şi care, departe de a fi fost scutită de tensiuni interetnice, s-a acutizat, treptat, pe măsura apropierii Europei – și implicit a României – de noua conflagraţie mondială.
- Perioada 1940-1944

Tabel 3. Distribuția și frecvența anuală a colonismului temporar și permanent (1940-1944)
Ca parte a Ardealului de nord-vest cedat Ungariei prin al doilea Diktat de la Viena, Baia Mare a trecut sub o administraţie maghiară care a funcţionat vreme de patru ani, între septembrie 1940 şi octombrie 1944. Așadar, odată cu oraşul, între septembrie 1940 – octombrie 1944 Centrul Artistic Baia Mare a reintrat temporar în sfera de atracţie polarizatoare a Budapestei. La vremea respectivă, evenimentul a fost salutat cu entuziasm într-un limbaj care, elogiind „eliberarea Băii Mari” (Petrovics, Elek „A felszabadult Nagybánya”…) şi reîntoarcerea „Barbizonului unguresc” la „patria mamă”, amestecă într-o imagine distorsionată anumite frustrări revizioniste, o viziune istorică partizană şi fragmentată, retorica naţionalistă şi proiecte de dezvoltare prin care s-a insinuat, din nou, exclusivismul etnic promaghiar asupra proprietăţii cultural–istorice a Băii Mari.

Aşa după cum mărturisesc datele statistice din Tabelul 4 şi în reprezentarea din Graficul 12, refacerea structurilor instituţionale dizolvate în 1935 nu a putut-o revitaliza. În ciuda lipsei unor date statistice complete, cunoaştem totuşi că Şcoala de Arte Frumoase (cea desfiinţată în 1935 şi redeschisă în 1940) a şcolarizat în principal elevi localnici. Cu excepția anului 1942, capacitatea sa de a polariza potenţialul studenţesc și artistic din afară s-a dovedit modestă. Artiştii vizitatori care s-au perindat pe la Baia Mare în aceşti ani au fost, în marea lor majoritate, foşti colonişti temporari (printre care Viktor Belányi, István Boldizsár, Ágost Benkhard ș.a.). Sejurul le-a fost de regulă scurt, de câteva săptămâni, iar activitatea productiv–artistică pare să se fi circumscris, preponderent, în sfera laboratorului personal de creație individuală (cu realizări altminteri notabile). În orice caz, fiind fatalmente deosebit de sensibilă la cenzurarea libertăţii de mişcare şi la insecurităţile induse de starea de război, colonia temporară s-a aflat în faţa unei situaţii de disfuncţionalism tehnic. Oricât de puțin cunoscută ne este încă această secvenţă cronologică, scurtă dar complicată, valorile statistice mici, precum şi curba evolutivă mai degrabă stagnantă, înregistrate în anii războiului ne îndeamnă să concluzionăm că nici între 1940–1944 colonia temporară nu a cunoscut o relansare autentică. În prelungirea crizei începute din 1931, ea a continuat să reprezinte o practică artistică secundară, cu un statut instituţionalizat puternic degradat.

Ilustrația 17: Baia Mare – studiu după model nud viu în peisajul Coloniei Pictorilor – studenți budapestani ai Școlii Superioare de Arte Plastice în colonia temporară din vara anului 1942
Colonismul permanent și-a continuat însă activitatea creativă și a izbutit să reziste climatului politic dizolvant și condițiilor vitrege generate în anii de război. Nu fără a plăti în vieți ale propriilor artiști „tributul” dictat de represiunea antisemită a autorităților guvernamentale maghiare: Martin (Márton) Katz– înregimentat în 1942 în „detașamente de muncă forțată” – a pierit undeva pe frontul ucrainean, iar David Jándi (1944) și József Klein (1945 ?) au căzut victime ale Holocaustului. În 1940-1942 autorităţile locale maghiare au actualizat, într-o variantă proprie, neîmplinitul proiect de extindere a coloniei permanente iniţiat în 1920-1921 de Ipolit Strâmbu (Alexa, Tiberiu, „Ipolit Strâmbu: un proiect inedit de reformare…”).
Primăria oraşului a preconizat în 1940 construirea unor noi utilităţi (ateliere, garsoniere, sală de expoziţie, etc) cu sprijinul Ministerului Regal Maghiar al Cultelor şi Instrucţiunii Publice care, în 1941, lansează deja tema de proiectare oferită arhitectului budapestan Károly Weichinger (1893-1982: arhitect, profesor universitar). S-a plănuit relocarea Coloniei Pictorilor pe câmpul Claustrului (azi Câmpul Tineretului), s-au găsit chiar şi resurse de finanţare în bugetul ministerial.
Numai că desfășurarea războiului, inflația galopantă și privaţiunile economice au împiedicat înfăptuirea. De altfel restricţiile impuse vieţii civice, blocarea comunicării intelectuale şi umane libere, apoi şi un anume radicalism nostalgic al exponenţilor vremelnicei puteri, toate la un loc au acţionat descurajant asupra întregii vieţii artistice locale, chiar dacă anul 1942 a fost marcat de câteva evenimente importante (expozițiile–concurs cu jurii din cadrul Săptămânii festive băimărene a «Sfântului Ștefan» și sezonul colonist al studenților Școlii Superioare de Arte Plastice din Budapesta).

Ilustrația 18: Baia Mare, octombrie 1940,Colonia Pictorilor– întâlnirea unor ministeriabil budapestani cu artiști băimăreni coloniști permanenți,
- Perioada 1945-2018
Destinul postbelic al coloniei temporare ridică câteva importante opţiuni de natură metodologică şi de abordare istorică în legătură cu evaluarea globală a mişcării artistice de la Baia Mare, precum şi în legătură cu evaluarea statutului pe care aceasta îl are începând din 1944. Istoriografia tradiţională apreciază că sfârşitul conflagraţiei mondiale avea să consfinţească încheierea definitivă a ciclului practicilor artistice de tipul coloniilor temporare la Baia Mare. Punctul ei de vedere referitor la încheierea existenței întregului ciclu artistic băimărean, odată cu reintegrarea Băii Mari în structurile statale româneşti, pare să se sprijine tocmai pe presupusa extincţie a colonismului temporar băimărean.

Ilustrația 19: Baia Mare, «Galeria Hollósy» în complexul expozițional și de ateliere «Colonia Pictorilor», mai 2019: expoziția tematică retrospectivă «Capodopere muzeale. Restaurări și achiziții 2007-2019»: secțiunea «Al treilea val tradiționalist: 1940-2018», fotograf: Tiberiu Alexa, prelucare digitalizată, colecție privată, Baia Mare
Pe cale de consecinţă, ni se insinuează ideea că această extincţie ar fi provocat „moartea” idealului fondator diseminat de Hollósy şi companionii săi. În interpretarea istoriografiei tradiţionale, dispariţia formulei asocierii sezoniere a unor studenţi şi artişti din afara mediului local ar fi scris actul de deces implicit al întregului centru artistic. Să fie oare adevărată această ipoteză? Examinarea atentă a procesualităţii istorice reale probează că lucrurile stau cu totul altfel decât vrea să ne convingă istoriografia de inspiraţie tradiţională maghiară.
Argumente. Dincolo de logica şchioapă a acestei relaţii de cauzalitate care pune un incorect semn de identitate între colonismul temporar şi totalitatea structurilor artistice băimărene, trebuie subliniat faptul că ipoteza de mai sus se sprijină pe două supoziţii deplin false. Aceasta pentru că trecuseră, deja, câteva decenii de când identitatea Băii Mari depăşise stadiul de simplă colonie temporară. Apoi, pentru motivul că nici măcar nu poate fi vorba despre o extincţie a practicii colonismului temporar la Baia Mare. Să le luăm pe rând.
Baia Mare încetase să mai fie doar o colonie artistică temporarăîncă de prin 1912-1914, o dată cu cristalizarea deplină a structurilor instituţionale stabile şi permanente: colonia permanentă, învăţământul artistic propriu, organizarea profesională specifică a artiştilor rezidenţi, etc. Aşa că marginalizarea, ori chiar eventuala dispariţie (nereală, în fapt) a unei formule aleatorii specifice, în fond, secolului al XIX-lea, nu aveau cum să provoace decesul sau ruperea continuităţii evolutive a mişcării artistice băimărene, pentru purul şi simplul motiv că structurile instituţionale permanente au rămas funcţionale pe mai departe.
De altminteri, dacă vorbim despre o autentică polaritate a relaţiei cauzale, atunci trebuie să observăm că ea a fost permanent inversă, în sensul dependenţei colonismului temporar de existenţa şi funcţionarea structurilor permanente. Cel puţin în cazul Centrului Artistic Baia Mare, această relaţie de determinare a acţionat aproape axiomatic şi înainte, şi după 1944. Faptul are importanţa sa majoră pentru că, după cum s-a putut observa din datele şi analizele anterioare, până în 1944 curbele ascendente şi descendente ale popularităţii colonismului temporar au urmărit îndeaproape ciclurile succesive de avânt şi de declin ale structurilor instituţionalizate permanent: învăţământul artistic, formele asociative profesionale, funcționarea și îmbogățirea patrimoniului edilitar artistic (atelierele de creație, spațiile educaționale,), expoziționismul și tezaurizarea, legăturile cu centrele–referinţă, respectiv programele de sprijin financiar ale autorităţii publice. Iar după 1944 situaţia se va repeta aidoma.
După cum ilustrează statistica din Tabelul 5, acest prag – interpretat însă în spiritul logicii pentru care pledează analiştii francezi – nu poate fi identificat cu dezintegrarea întregii mişcări, întrucât tendinţa care a condus la valorile nule se încadrează pe deplin în consecinţele acelor fluctuaţii pe termen scurt care reflectă presiunea conjuncturilor istorice, iar semnificaţia lor reală nu face altceva decât să nuanţeaze parametrii globali ai trendului evolutiv pe termen mediu. Moralitatea ştiinţifică mă obligă să atenţionez că inventarul statistic pe care îl avem la îndemână cuprinde exclusiv date sigure, extrase din surse de referinţă fragmentare şi disparate dar, oricum, controlabile.






Tabel 4. Frecvența anuală și distribuția categorială a colonismului temporar (1945-2018)
Cum, însă, această înseriere a informaţiilor cantitative acoperă şi secvenţa cronologică a deceniilor totalitarismului comunist, baza de date privitoare la practica contemporană a asocierilor temporare este fatalmente incompletă din pricina prelungitei dificultăţi în a accede la arhivele documentare de epocă. În consecinţă, îndeosebi imaginile asupra anilor ‘40, ‘50 (şi, măcar parțial, asupra 1960) rămân, deocamdată, incomplete. Din acest motiv, valorile statistice şi, respectiv, configuraţiile proiecţiilor grafice ale acestora, trebuie reţinute cu prudență şi, poate, mai degrabă ca pe un fond statistic minimal dar cert, care va suporta, probabil, viitoare corecturi – dar exclusiv în sensul unor creșteri cantitative.
Graficul 13, care prelucrează datele liniei statistice cumulative din Tabelul 5 (totalul coloniștilor temporari), relevă indiscutabila continuitate a colonizărilor temporare şi după 1944.

Mai mult decât atât și dincolo de indiscutabilele sincope care au marcat, când și când, traseul niciodată interupt al cursului evolutiv, ni se relevă faptul că dincolo de conservarea propriu-zisă a filierei colonismului temporar băimărean – exact în parametrii structurali care au apărut, au fost cultivați și s-au manifestat ante 1944 (mai precis între 1896-1944), în intervalul cronologic 1945-2018care încorporează el însuși o serie statistică de 74 de ani (suficient de relevantă în accepțiunea termenilor cantitativi susținuți de Analiștii francezi), avem de constatat succesiunea (distribuită în creștere progresivă) a trei cicluri complexe de creștere/regresie (1945-1955; 1956-1987; 1990-2018, plus conjunctura „anomaliei” statistice din 1988-1989), dintre care cel din urmă ciclu, debutat în 1990 evidențiază evoluția unei progresii cantitative de-a dreptul explozive (aflată, desigur, în nemijocită legătură cu contextualitățile perioadei postcomuniste și cu subsecventele descătușări ale energiilor și resurselor).

Ilustrația 20: Baia Mare, vara anului 1945– János Krizsán împreună cu patru artiști băimăreni coloniști permanenți – la studiu după model viu în peisajul Coloniei Pictorilor.
Cu toate precauţiile necesare în abordarea unui asemenea tablou (parțial imperfect), câteva concluzii pot fi totuşi desprinse. Argumentele ce urmează sunt menite să demonstreze că dependenţa colonismului temporar faţă de structurile permanente s-a manifestat (similar perioadelor anterioare) şi după 1944, iar apoi că această relaţie a acţionat pe aceleaşi două direcţii şi în acelaşi sens: unor timpi istorici favorabili mişcării şi iniţiativelor libere ale structurilor permanente i-au corespuns fluxuri ascendente ale colonismului temporar, şi – în sens invers – timpii supuși constrângerilor politico–administrative, economice, spirituale, logistice sau de restricționare a circulaţie și comunicărilor libere (ale ideilor și/ori ale artiștilor, ale „consumatorilor” de artă, ale promotorilor în planurile local, național și/sau transnațional), s-au regăsit în refluxuri funcționale care – conjunctural, parțial şi pe termen foarte scurt – au putut genera regresii importante, sau – spre exemplu în sectorul învăţământului artistic băimărean – chiar căderi pasagere la nivelului pragului zero.
Nu este însă mai puţin adevărat că, după încheierea celui de-al doilea război mondial, s-au petrecut, treptat, importante schimbări de fond în identitatea instituţiilor artistice băimărene care au fost obligate să răspundă unor conjuncturi şi trenduri generale inedite. Divizarea ideologică a Europei şi războiul rece, industrializarea accelerată şi autoritarismul etatist al perioadei comuniste, iar mai recent globalizarea planetară (și postcomunistă) a modelului socio–economic postindustrial – în plan general; pe de altă parte intruziunea impusă initial de doctrinarismului proletcultist şi de modelul estetic al realismului socialist, apoi seria succesivă a fenomenelor conjuncturale reprezentate de „liberalismul cultural” dintre 1966-1971 și de efectele sale remanente (1971-1989), de „revoluţia culturală” declanşată în 1971 – urmată de treptata izolare internaţională a României (după 1980) și, în cele din urmă, de „epoca post-totalitară” începută din 1990, reprezintă tot atâtea provocări care au contribuit la remodelarea periodică a echilibrului şi calităţii surselor de alimentare a colonismului temporar la Baia Mare. Să examinăm, deci, comportamentul tendinţelor acestor surse.
4.a. Perioada 1945-2018: coloniștii temporari „elevi”. Sub impactul procesului de etatizare a sistemului educaţional românesc, învăţământul artistic local a cunoscut o evoluţie generală contradictorie. Fluctuant a fost, în consecinţă, şi aportul de colonişti temporari şcolarizaţi la Baia Mare la un nivel de instrucție de specialitate cel puțin de stadiu preuniversitar liceal sau echivalent – corespunzător modelului inițial și inițiatic statutat în vremea Școlii Hollósy și perpetuat, apoi, ca atare. Acesta este, de altminteri, motivul metodologic pentru care analizele noastre cantitative nu iau în calcul perioadele de funcționare și nici cifrele de școlarizare din sub–etapele învățământului artistic de nivel gimnazial (adică anii:1958-1965 și, respectiv, 1982-1989). Cifrele din Tabelul 5, corespunzătoare frecvenţei acestei subcategorii indică existenţa a trei perioade de funcționare (creştere/descreştere: 1945-1954, 1966- 1981, şi 1990-2108), întrerupte de două perioade fixate la pragul zero (1955-1965, şi 1982-1989). Această fluctuaţie decurge din repetatele schimbări ale formelor instituţionale, fapt ce relevă o anume instabilitate pe termen mediu a structurilor sistemului educaţional liceal determinată, evident, de la nivelul deciziilor guvernamentale (București) și, deci, independentă de voința și opțiunile decidenților administrativi (și politici) locali.

Desprindem, mai întâi, fenomenul major al trecerii de la forma şcolii libere de tip privat (1945-1949) – așa cum a fost ea „naturalizată” în ani Școlii Hollósy, iar din 1902 a fost apoi statornicită – la instituţiile de învăţământ public de stat de nivel liceal (mediu; preuniversitar): Şcoal Medie de Arte Plastice (1950-1954); Liceul de Muzică şi Arte Plastice (1966-1981), iar începând din 1990 Liceul de Arte (sub titulatura de Colegiul de Arte Baia Mare din 2016).

Ilustrația 21: Baia Mare, iunie 1952, sala de studiu a vechii Școli de Pictură din cadrul Coloni9ei Pictorilor– Lidia Agricola îndrumând elevii Școlii Medii de Arte Plastice la cursul de pictură.
Pe de altă parte, avem de remarcat şi două secvențe de nivel „nul” înregistrate între 1954-1966, respectiv 1982-1989. Aşa se explică creşterile şi căderile numărului general al elevilor şcolarizaţi, iar pe cale de consecinţă şi variaţia numărului elevilor din afara centrului băimărean colonizaţi temporar pe durata studiilor. Pragurile maxime corespund funcţionării normale şi complete a ciclului şcolar liceal ce acoperă anii I – IV de studii pentru grupele de vârstă cuprinse, în mod obişnuit, între 14 şi 18 ani (mai recent între 15-19 ani). Numărul acestui tip de colonişti temporari atinge limite de variaţie anuală între 11 şi 30 de liceeni pe an de studiu şi cuprinde o repartiţie cumulată pe an de școlarizare ce variază între 11-

302 liceeni. Aria de recrutare acoperă judeţul Maramureş şi câteva din judeţele învecinate (Satu Mare, Sălaj, Bistriţa). În ceea ce priveşte pragurile maxime înregistrate, ele ilustrează conjuncturile pozitive determinate de numărul participanţilor la taberele şi concursurile olimpice de nivel naţional desfăşurate la Baia Mare.
4.b. Perioada 1945-2018: coloniștii temporari „studenți”. Această sursă de alimentare a colonismului temporar a fost compusă la Baia Mare, de-a lungul timpului, din trei subcategorii complementare ale căror linii de evoluție sunt surprinse în imaginea statistică din Graficul 15.
- Subcategoria studenţilor de obârşie locală care și-au efectuat educația academică „în afară” grupează absolvenţi ai învăţământului liceal băimărean de arte plastice care, în absenţa unei instituţii locale de învăţământ superior până în anul 2000, şi-au dobândit educaţia academică în institutele specializate din Cluj, Bucureşti, Iaşi şi Timişoara. Colonismul lor temporar la Baia Mare se leagă de studiile efectuate periodic, de regulă în vremea vacanțelor, adeseori cu asistenţa unor artişti membri ai coloniei permanente. Dinamica evolutivă evidenţiază două cicluri ascendente (1949-1982 şi 1990-1996), un ciclu pronunțat regresiv (1983-1993), precum și ciclu aflat în desfășurare (început în 2000) caracterizat prin descreșterea ușoară a unui fond relativ constant care se situează însă la valori statistice mai degrabă ridicate (care, peste timp, depășesc vârfurile precedente atinse între 1979-1983). Atât fazele de creştere cât şi cea de declin se află într-o relaţie de interdependenţă directă cu ciclurile evolutive ale învăţământului artistic local. Conjuncturile pozitive care au favorizat funcţionarea instituţiilor de nivel liceal se regăsesc, nemijlocit, în valorile superioare atinse de numărul studenţilor de obârşie locală (între 1971-1982, şi începând din 1994). Ciclul ce se desfășoară din 2000 încoace surprinde o situație inedită, ale cărei explicații nu contrazic în vreun fel argumentele de mai sus: atâta doar, că tocmai din anul 2000 încoace apare în piața educațională de nivel academic factorul concurențial local: oferta noului pol de atragere și recrutare a resursei umane prin înființarea și dezvoltarea specializării pictură în cadrul Universității băimărene (nivel licență, plus nivel master din 2014).
- Subcategoria studenților „ din afară” cuprinde prezențe individuale venite în documentări de studii și, respective grupuri organizate ale taberelor/practicilor artistice de vară deplasate la Baia Mare de academiile de artă şi arhitectură din Cluj, Bucureşti, Iaşi şi Timişoara. Ele constituie, se pare, un factor mai degrabă secundar în economia colonismului temporar studenţesc. În absenţa unor programe speciale de coordonare centralizată a practicilor studențești de vară, de felul celor interbelice, asemenea tabere au fost organizate când şi când, în funcţie de programele curriculare individuale ale academiilor de artă româneşti. Aşa s-au ivit, bunăoară, colonizările studenţeşti conduse în 1948, 1950, 1966, 1971 şi 1993 de Jean Al. Steriadi, Alexandru Ciucurencu, Geta Caragea, Eugen Gocan, Ana Lupaș şi Ion Sălişteanu. Cercetări recente tind să nuanțeze totuși scoțând din uitare alte colonizări anuale ale căror urme și detalii s-au risipit prin hățișurile birocrației administrative (precum cele din 1946, 1952, 1954, 1956, 1962, 1975, 1988, 1997). Mai trebuie reținut apoi revirimentul (vremelnic și intermitent) petrecut în anii din urmă (2011, 2012, 2014, 2016, 2018) prin intermediul unor evenimente artistice de tip nou (street art, workshop-uri, simpozioane tematice naționale).
- Subcategoria studenților „universității proprii” cuprinde resursa umană formată în propriul învățământ academic de artăbăimărean începând din anul 2000. De la înființare până în prezent ea cunoaște două cicluri de progresii corespunzătoare dezvoltării programelor derulate (mai întâi nivelul licență – inițial de 4 ani, apoi „modelul Bologna” de 3 ani; ulterior cumulativ cu nivelul licență, prin completarea cu nivelul studii masterale – din 2014). Stabilizată anual la valori de 70-80 studenți în prima etapă, apoi la 110-120 în cea de a doua etapă, populația studențească formată profesional în învățământul academic de artă al „universității proprii” este recrutată în principal din Baia Mare și din județe ale bazinului transilvănean extins (Maramureș, Satu Mare, Sălaj, Cluj, Brașov, Bistrița-Năsăud), sporadic din celelalte regiuni istorice românești, apoi cu intermitențe din Republica Moldova (prin repartizări oficiale de la nivelul Ministerului Educației Naționale din București) și, conjunctural, din Ungaria și Ucraina. În prezent această subcategorie reprezintă principalul filon de alimentare cu resursă umană, în curs de specializare profesională, pentru întreaga categorie a colonismului temporar studențesc la Baia Mare.
4.c. Perioada 1945-2018: coloniștii temporari „artiști”. Din punct de vedere cantitativ, aportul acestei categorii a artiştilor vizitatori se încadrează între limite valorice mai degrabă moderate. Faptul este sesizabil în evoluția frecvenţei anuale înscrisă în seria statistică din Tabelul 5 şi transpusă în Graficul 16 (cu reprezentarea construită la scală logaritmică în bază 10). Totuşi, la nivel global este de remarcat tendinţa unei relative, dar constante progresii, pe acest fundal distingându-se o interesantă imagine a succesiunii celor patru secvențe temporale de expansiune/contracţie a participării coloniştilor temporari „artişti, după cel de-al doilea război mondial, în viaţa creativă, expozițională și social–intelectuală a centrului artistic băimărean.
Ciclul A – cea dintâi secvență temporală – se desfăşoară între 1945-1955 şi ilustrează variaţii dezordonate ale valorilor statistice (1-5 colonişti artiști) care se situează sub nivelul median al tronsonului T1 (ce înregistrează limitele valorice de la 0 la 10). Explicarea acestui comportament statistic rezidă, fără îndoială, în împrejurările critice, de criză prelungită pe termen mediu, cu care s-a confruntat România, și implicit Baia Mare, în perioada deceniului 1945-1955 (prin consecințele remanente ale războiului mondial, prin efectele trecerii în sfera de influență a U.R.S.S., ca urmare a transformărilor sistemice impuse de noul regim comunist prin decizii acompaniate de interdicții politice, civice, culturale și de mișcare liberă a oamenilor și ideilor, etc.).
Ciclul B
înregistrează pregnantul salt cantitativ petrecut între 1956-1980. Valorile cantitative continuă „comportamentul” dezordonat, dar își ridică variațiile anuale (5-23 coloniști artiști) într-un ecart superior care intersectează limita superioară a tronsonului T1 cu sfertul inferior al tronsonului T2. Dincolo de împrejurările conjuncturale care explică acest progres indiscutabil, române important să constatăm efectele pe termen mediu ale unui proces pe care putem și trebuie să îl apreciem ca pe un flux constant de resursă umană artistică ce a contribuit substanțial la restabilizarea și, pe cale de consecință, la înscrierea colonismului temporar postbelic în parametrii unei normalități moderate la scara întregii istorii artistice băimărene. Pentru această perioadă mai avem de consemnat şi variaţii anuale cu tendinţă negativă a două subcicluri derulate între 1962-1968 (subciclul B1), respectiv între 1974-1980 (subciclul B2).

Cauzele celui de al doilea stau, cel mai probabil, în legătură directă cu efectele (până la urmă doar tranzitorii) antrenate de șocul „revoluției culturale” (declanșate politic în 1971 prin celebrele „Teze de la Mangalia”) și de cristalizarea acelui „cult al personalității” pe care s-a întemeiat apoi, până în 1989, autoritarismul etatist politico–administrativ și cultural–intelectual patronat de leadership-ul lui Nicolae Ceaușescu.
Din 1981 încoace evoluția evidenţiază variaţii dinamice mai accentuate, care s-au desfăşurat în ritmuri anuale mai alerte și cu polarizări valorice pronunțate într-un interval temporal de durată mijlocie (35 de ani până acum: 1981-2018). Ele înregistrează, în două cicluri distincte, efectele frământărilor, agitațiilor și eforturilor pe care comunitatea artistică băimăreană – în întreaga și complexa sa structură constitutivă analizată aici – le-a consumat într-o prelungită stare de efervescență activistă dar pe fondul unor contextualizări socio–politice flagrant diferite.
Ciclul C, petrecut între 1981-1992, surprinde mișcările din durerosul deceniu al anilor 1980 când, treptat și parcă tainic, s-au „copt” acele condiții ale încheierii „regimului comunist” pe care o bună parte dintre artiștilor epocii – chiar dacă nu le-au întrezărit aidoma – le-au „consumat” lăuntric și le-au transpus în manifestări și creații flagrant abătute „deviaționist” de la „linia trasată de partidul unic”. Cuprinde excepțiile/anomaliile statistice a două conjuncturi maximale opuse: cea pozitivă atinsă în 1988 prin participarea masivă a 307 artiști la Expoziţia Naţională a Tineretului «Atelier 35»), dimpreună cu cea negativă atinsă în 1992 – expresie întrucâtva neașteptată a decompresiei generale suportate de societatea românească după succesul revoluţiei antitotalitare.
Ciclul D desenează traseul reașezării într-o stare de normalitate în anii de după 1993. O normalitate al cărei echivalent statistic se manifestă prin înscrierea liniei evolutive, din 1995 încoace, în etajul superior al tronsonului T2 cu variații valorice anuale între 14-53 artiști colonizați temporar.
Pe fondul tendinţei generale de creştere moderată a ansamblului categoriei coloniști temporari „artiști” în intervalul temporal 1945-2018, imaginea din Graficul 16 păstrează intactă linia unei dinamici evolutive anuale permanent instabilă, cu variaţii aparent aleatorii şi între valori (uneori flagrant) polarizate. Acest aspect ridică o întrebare deosebit de interesantă: care factori vor fi fost responsabili pentru un asemenea comportament în participarea categoriei coloniştilor artişti la colonia temporară băimăreană între 1945 şi 2018 ? Răspunsul pare să developeze rolul noului mecanism, complet inexistent înainte de 1950 şi care a reaşezat, pe baze noi, capacitatea de atracție exercitată de mişcarea artistică de la Baia Mare asupra spațiilor culturale din exterior. Principalul factor de diferenţiere a fost indus pe calea manageriatului artistic desfăşurat, cu deosebire după 1982, la nivelul Filialei Baia Mare a Uniunii Artiştilor Plastici din România. Astfel, spre deosebire de prima (1896-1901) şi de cea de a doua serie temporală (1902-1944), în care iniţiativele individuale au susţinut o colonizare a artiştilor vizitatori liberă, independentă de forme organizatorice dirijate, sporul statistic înregistrat în ciclul 1945–2018 s-a datorat promovării unor programe speciale.
Aceste programe au fost concepute astfel încât să sprijine două structuri organizatorice complementare: taberele şi simpozioanele de creaţie artistică, respectiv expoziţiile cu program tematic. După o lungă întrerupere, prima categorie venea să reactiveze, în tipare înnoite, spiritul colonismului artistic hollósyan, şi este reprezentată prin: patru ediţii ale Simpozionului Naţional de Ceramică«Faimar» (1983-1985 şi 1989), trei ediţii ale Taberei Naţionale de Artă Plastică de la Seini (1985-1987), Tabăra Naţională a Tineretului«Atelier 35» (1988), respectiv prin treisprezece ediţii ale noii Tabere Internaţionale de Pictură de la Baia Mare (1993-2004). Cea de a doua categorie este reprezentată, în principal, prin expoziţiile–program Omul şi Oraşul (1984), Oglinda (1985), Expresia corpului uman (1986) şi prin Expoziţia Naţională a Tineretului «Atelier 35» (1988), Expozițiile Internaționale de Artă Contemporană «Eurocarpatica».
4.e. O evaluare a seriei temporale 1945-2018. Însumarea valorilor celor trei surse care au alimentat colonismul temporar de la Baia Mare (elevi, studenți și artiști) ne oferă un interesant tablou general al perioadei 1945-2018 în Graficul 17. Această proiecţie grafică a inventarului statistic (prezentată la scală logaritmică în bază 10) pune în evidenţă atât persistenţa bine individualizată a colonismului temporar cât şi o parte a secvenţelor conjuncturale care i-au marcat evoluţia. Principala observație este că evoluţia globală a colonismului temporar descrie, între 1945-2018, un trend general pregnant ascendent, marcat de continue fluctuaţii conjuncturale pozitive şi negative. Sunt de notat, apoi, cele 4 etape evolutive distincte.
Etapa 1: 1945-1965. El este identificabil, în esenţa sa, cu epoca de dominaţie autoritară a realismului socialist, ale cărui consecinţe restrictive le şi ilustrează, de altminteri, într-o măsură suficient de relevantă. Dincolo de cele câteva variaţii conjuncturale pozitive, valorile statistice se învârt în jurul unui prag mai degrabă stagnant prin care această etapă se înscrie în prelungirea declinului început prin 1932. În lipsa datelor anuale complete, singura observaţie credibilă pe care o putem face acum se referă la regenerarea treptată, dar extrem de lentă, a fondului artistic local printr-un număr crescând de studenţi băimăreni – sau din zonă – înmatriculaţi la academiile româneşti de arte plastice. Sporul de la 2 (în 1949) la 7 (în 1965) pare, în sine, modest. Însă, dacă îl raportăm la ambianţa politico–ideologică a perioadei şi la practicile dogmatismului proletcultist de atunci, lentoarea acestui spor capătă cel puţin o explicaţie contextuală. Dincolo de aceasta, este de subliniat faptul că presiunile ideologiei de clasă nu au putut decât cel mult să frâneze potenţialul unei tendinţe ascendente care avea să „explodeze” în etapa următoare.

Etapa 2: 1966-1978. Marchează o creştere cantitativă spectaculoasă, comparabilă cu epoca de glorie a colonismului temporar din primele trei decenii ale istoriei Centrului Artistic Baia Mare. Debutează în perioada de relaxare culturală şi ideologică din primii ani ai regimului Ceauşescu şi se încheie odată cu generalizarea ofensivei dogmatic – totalitariste a aceluiaşi regim. Doi sunt factorii care explică acest proces: reluarea învăţământului artistic local şi, respectiv, sporirea substanţială a numărului de studenţi băimăreni înmatriculaţi în institutele învăţământului artistic superior de la Cluj, Iaşi şi Bucureşti. Ambii factori sunt strâns legaţi de înfiinţarea Liceului de Muzică şi Arte Plastice în 1967, instituţie care a şcolarizat un număr apreciabil de elevi din afara Băii Mari, iar pe de altă parte a lansat un număr semnificativ de viitori artişti de provenienţă locală, număr ce nu are precedent în întreaga istorie a instituţiilor de învăţământ artistic băimărean. Fără să fie absent, aportul studenţilor şi artiştilor din afara centrului băimărean la colonismul temporar a fost moderat şi mai degrabă conjunctural.
Etapa 3: 1979-1989. Corespunde reculului înregistrat de întreaga societate românească sub presiunea crizei de sistem politic şi economic. În mod natural, mişcarea artistică de la Baia Mare nu a făcut excepţie de la regula generală, iar curba statistică descendentă înfăţişată în Graficul 17 indică un nou declin de conjunctură al colonismului temporar. Astfel, odată cu trecerea în lichidare a Liceului de muzică şi arte plastice (1979-1982), aportul învăţământului artistic local coboară rapid la cota zero. Insă ceea ce statistica globală nu mai relevă sunt importantele schimbări rezultate din redistribuirea ponderii componentelor acestui colonism: tendinţa evolutivă contrară înregistraate de seria colonizărilor artistice din afara Băii Mari. Pentru prima oară după anii ‘1930, aportul din exterior a depăşit sensibil ponderea factorului local. Rezultă destul de clar că, pe parcursul acestui deceniu de reflux relativ, rolul decisiv în susţinerea colonismului temporar a revenit factorului organizatoric.

Ilustrația 22: Baia Mare, «Galeria Hollósy» în complexul expozițional și de ateliere «Colonia Pictorilor», mai 2019: expoziția tematică retrospectivă «Capodopere muzeale. Restaurări și achiziții 2007-2019»: secțiunea «Al cincelea val aangardist: 1958-1989», fotograf: Tiberiu Alexa, prelucare digitalizată, colecție privată, Baia Mare
Performanţele atinse acum au avut în spate puternica maturizare a celor două structuri de asociere profesională: Filiala Baia Mare a Uniunii Artiştilor Plastici şi, respectiv, Cenaclul Tineretului «Atelier 35». Efectul laborioaselor demersuri ale celor două organizaţii a fost că, pentru prima oară după cel de-al doilea război mondial, Centrul Artistic Baia Mare a izbutit să-şi ridice cota de atractivitate naţională la niveluri comparabile cu pragul atins în anii ‘1920. Aşa se explică de ce vârful absolut din întreaga istorie a colonismului temporar băimărean a fost înregistrat tocmai în 1988, prin conjunctura pozitivă creată de cei 287 de artişti din afară şi 20 de creatori locali implicaţi, timp de aproape un an, în realizarea programului Expoziţiei Naţionale a Tineretului «Atelier 35». Astfel, ansamblul deceniului anilor 1980 ni se înfăţişează ca un amestec de tendinţe divergente aparent surprinzătoare. În orice caz, faptul că evoluţia ascendentă a aportului coloniştilor temporari „artişti” din afară a putut să se petreacă în contextul în care dogmatismul ideologic comunist tocmai atingea limitele sale maxime rămâne un fenomen ce relevă câte ceva din umbrele şi luminile atitudinii pe care intelectualitatea artistică românească a manifestat-o atunci, la scara întregii ţări. Timpul tinde să confirme o afirmație formulată în 1992, şi anume că acest proces “(…) se identifică cu repetatele încercări, lansate şi de la Baia Mare, de a găsi căile valide de supravieţuire culturală în condiţiile cunoscutelor agresiuni ale «vechiului regim»”, iar Baia Mare a fost unul din polii cheie dinspre care “(…) s–au putut face cunoscute ţării acţiuni artistice ce pot fi considerate definitorii în determinarea diferenţei specifice a autenticei noastre arte naţionale în raport cu tribulaţiile programului aulic şi ale celuiideologic…” (Alexa, Tiberiu, „Artele plastice în căutarea…”).
Etapa 4: 1990-2018. Urmează, desigur, schimbării de regim politic din decembrie 1989. El ilustrează începutul unei rapide tendinţe de creştere care devine vizibilă în urma reabilitării structurilor instituţionale permanente. După o recuperare moderată între 1990-1992, tendința de creștere devine accentuată începând 1993-2003, iar din 2004 se stabilizează cu variații anuale în ecartul de 417-539 coloniști temporari. Vizibila progresie a colonismului temporar se datorează consecințelor produse prin reînfiinţarea învăţământului artistic liceal (în 1990), prin sporul semnificativ al studenţilor de origine băimăreană în arte plastice formați „în afară”, iar din anul 2000 încoace prin înființarea și funcționareapropriului învățământ artistice de nivel academic. Pe de altă parte, elementul cel mai reprezentativ al acestei etape – în plan calitativ – rămâne seria celor XIII ediții aleTabere Internaţionale de Pictură de la Baia Mare (1993-2004). Inspirată nemijlocit din acel spirit paneuropean al coloniilor iniţiate în 1896 de Simon Hollósy, noua tabără vizează reintegrarea, pe baze organizatorice stabile şi permanentizate, a dimensiunii internaţionale originare care dispărusese, practic, în anii totalitarismului. Sistarea acestui proiect (din obscure motive birocratice, manageriale și financiare) reprezintă eșecul cel mai semnificativ din ultimele trei decenii și se cuvine să fie consemnat ca atare.
Fundamentat pe acest inventar statistic, bilanţul analizelor secvențiale de mai sus ne obligă să concluzionăm, fără rezerve: un colonism temporar băimărean nu numai căa supravieţuit după 1945, dar de prin anii ‘1960 el a început să manifeste o vizibilă și constantă tendinţă de creştere. Aceasta pe fondul consumării unui proces paralel care a condus la schimbarea substanţială a valorilor calitative purtate de acest colonism. Dincolo de complexul context socio–politic, acest process paralel se originează înainte de toate în profundele schimbări ale artei europene postbelice. Şi este interesant de urmărit felul şi ritmul în care mişcarea artistică de la Baia Mare a răspuns stimulilor veniţi dinspre o evoluţie artistică internaţională bicentenară, evoluţie ce a pornit prin generalizarea practicii realismului plein air-ist şi a atins, astăzi, stadiul complicatelor dileme postmoderne.

4.f. Concluzii globale asupra colonismului temporar: 1896-2018. Examinarea statistică la scara întregii sale funcționări istorice sugerează că tocmai acest proces de permanentă adaptare a comunității artistice locale a marcat trendul evolutiv global al colonismului temporar băimărean. Combinând segmentele ante– şi post– 1944 obţinem o serie statistică lungă care relevă succesiunea următoarelor faze:
- o creştere puternică între 1896-1925 – practic o triplare a valorilor înregistrate în anii extremi ai intervalului, cu variații anuale moderate (Faza 1);
- o mișcare regresivă accentuată între 1926-1939 (Faza 2);
- relativa stabilizare între 1940-1962 la un nivel inferior (apropiat la un moment dat de pragul critic), care include variații anuale puternic polarizate și minima istorică absolută înregistrată în 1945, un pasager interciclu de creștere datorat vremelnicei funcționări a Școlii Medii de Arte Plastice (1950-1954), precum și o discretă tendință de creștere în anii terminali ai intervalului (Faza 3);
- o nouă mișcare ascendentă între 1963-1977 ce mută la un etaj superior întreaga succesiune de valori anuale din interval (Faza 4);
- a doua perioadă de declin, între 1978-1989, care conține și excepţia conjuncturală a maximei pozitive absolute înregistrată în 1988, dar și minima înregistrată în anul imediat următor – 1989 (Faza 5);
- în sfârşit – o ultimă curbă ascendentă începe în 1990 şi tinde să se dezvolte progresiv până în zilele noastre (Faza 6).
Dacă eliminăm variaţiile conjuncturale extreme (deopotrivă pe cele positive și pe cele negative), avem de reţinut cinci procese majore: trei de creştere (Fazele 1, 4 și 6), dintre care primele două sunt separate la distanţă de 4 decenii printr-o regresie (Fazele 2+3) oprită la valori statistice echivalente cu sensul unei crize de durată a colonismului temporar băimărean, în vreme ce ultimele două sunt separate de o nouă regresie – de durată scurtă, dar nu mai puțin aspră (Faza 5). Ceea ce rămâne de explicat în acest tablou evolutiv se referă în primul rând la originea şi la natura celor două faze de criză. Iar analizele efectuate mai sus ne dau toate motivele să putem vorbi despre sorgintea bivalentă, institutional–culturală și, respectiv, politico–administrativă a acestora. În cazul regresiei dintre 1926-1962, avem de a face cu un grup de factori instituţionali care a acţionat conjunctural, adversativ şi pe termen mediu. Presiunile pe care le-a exercitat asupra colonismului temporar băimărean au derivat din propria stare de criză în care au intrat și s-au aflat, vreme de câteva decenii, sistemul institutional artistic băimărean și relaţiile acestuia cu centrele sale de referinţă (București–Budapesta–București).
Pe de altă parte, regresia din anii deceniului 1980 s-a datorat unor factori exteriori fenomenului artistic băimărean: criza de sistem politico–administrativ gestionat de la București, din pricina căruia și comunitatea artistică băimăreană a trebuit să facă față și să reziste agresiunilor finale ale totalitarismului ceaușist. După 1965, reabilitarea structurilor instituționale interne avea să conducă la reluarea ciclului de creştere prin reinventarea potențialului de atragere/alimentare a colonismului temporar: învăţământul propriu, capacitatea de stimulare a colonismului artistic individual, promovarea dirijistă a unor programe speciale. Ieşirea din criză prin mecanismele unei astfel de continuităţi rămâne unul dintre principalele argumente ce vin să contrazică ipoteza fracturării existenţei istorice a Centrului Artistic Baia Mare.
O discontinuitate există, totuşi. Numai că ea nu s-a manifestat în funcţionarea structurilor instituţionale, ci o regăsim în sfera practicii productive artistice. După toate evidenţele, ea s-a născut din fondul acutei crize de model cultural traversată la Baia Mare între 1926-1962, şi s-a cristalizat lent, pe parcursul îndelungatului proces de marginalizare/înlocuire a tutelei modelului plein air-ist originar. Rezultatul firesc s-a tradus prin abandonarea obsesiei aşa-zisei „peisagistici băimărene” tradiționale în favoarea unor modéle intelectualizate prin discurs elaborat ficțional, inspirate din recuzita avangardei clasice și a celei târzii, iar apoi din retoricile transavangardiste/postmoderniste. O asemenea translație de modele culturale a favorizat, ea însăşi, ieşirea din criză a colonismului temporar care, dincolo de o vizibilă revigorare cantitativă, a traversat, treptat, şi o metamorfozare estetică acordată la prefacerile artistice internaționale înflorite după cel de al doilea război mondial.

Ilustrația 23: Baia Mare, «Galeria Hollósy» în complexul expozițional și de ateliere «Colonia Pictorilor», mai 2019: expoziția tematică retrospectivă «Capodopere muzeale. Restaurări și achiziții 2007-2019»: secțiunea «Primul val postmodernist: 1973-2018», fotograf: Tiberiu Alexa, prelucare digitalizată, colecție privată, Baia Mare
Concluzionând secvențial, observăm faptul că după ce a jucat un rol major pe vremea lui Simon Hollósy, generând de fapt apariţia Centrului Artistic Baia Mare, de prin anii deceniului 1930 colonismul temporar a tranzitat înspre un statut de importanţă secundară. dar a continuat să rămână până astăzi una dintre componentele majore ale structurilor artistice băimărene asupra cărora nu a încetat, vreodată, să acţioneze benefic.

Ilustrația 24: Baia Mare, «Galeria Hollósy» în complexul expozițional și de ateliere «Colonia Pictorilor», mai 2019: expoziția tematică retrospectivă «Capodopere muzeale. Restaurări și achiziții 2007-2019»: secțiunea «Al doilea val postmodernist: 1999-2023», fotograf: Tiberiu Alexa, prelucare digitalizată, colecție privată, Baia Mare
Citește și:















