Maramureșenii au dat culoare celei de-a III-a ediții a evenimentului „România 1000” - 3 ore în urmă
Victorie la 20 de goluri diferență a „tricolorelor” în al doilea meci din grupele principale ale Campionatului Mondial - 4 ore în urmă
Se împlinesc opt ani de la plecarea la Domnul a Regelui Mihai I - 5 ore în urmă
Moșul a ajuns, încărcat de daruri, și la Sighet - 5 ore în urmă
A treia înfrângere consecutivă pentru CS Minaur, care a coborât pe locul 3 - 6 ore în urmă
Bărbat prins cu alcool cât pentru trei petreceri, acum în arest - 7 ore în urmă
Povestea completă a unui eșec - 7 ore în urmă
Controale pentru combaterea ilegalităților în transportul de mărfuri cu risc fiscal ridicat - 8 ore în urmă
Ziua Națională a României și 145 de ani de relații diplomatice între România și Franța- dublă sărbătoare celebrată la Marsilia - 9 ore în urmă
Zeci de kilograme de articole pirotehnice confiscate de polițiști în Baia Mare - 10 ore în urmă
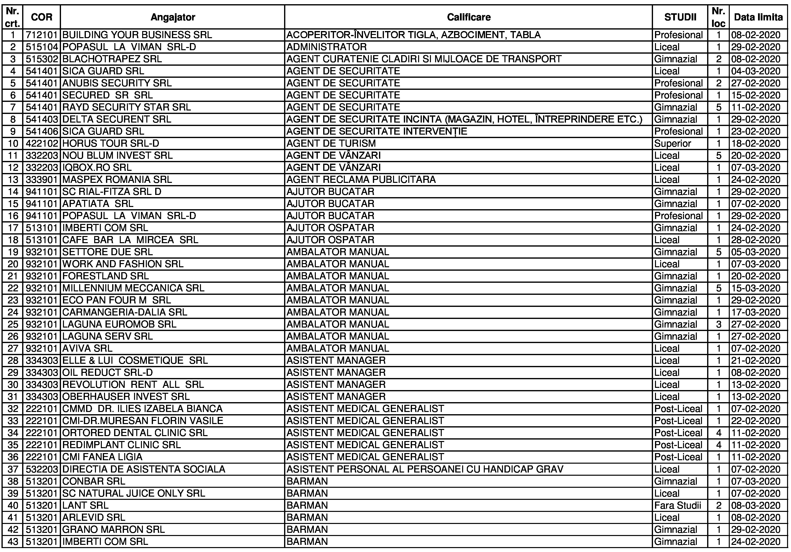
Aproape 500 de locuri de muncă oferite prin AJOFM. Se caută de la bucătari până la manageri
Agenția Județeană pentru Ocuparea Forței de Muncă (AJOFM) Maramureș anunță că în județ sunt disponibile 493 de joburi, domeniile fiind variate. De exemplu, se caută agenți de securitate, barmani, bucătari, contabil, farmacist, manageri ș.a. Cei interesați pot obține mai multe detalii de la sediul instituției: Baia Mare, str. Hortensiei, nr. 1A; telefon: 0262 227 820, 0262 227 821.
Iată oferta detaliată:
























