Adi Hădean, băimăreanul care a dus gustul de acasă în toată România - 7 ore în urmă
Sărbătorile Zăpezii au adus distracție maximă la Izvoare Resort - 8 ore în urmă
Credință și solidaritate: Deți Iuga organizează două concerte caritabile de pricesne la Cluj-Napoca și Baia Mare - 8 ore în urmă
După mai bine de 50 de ani, oamenii se întorc spre Lună și nu e o poveste de film - 8 ore în urmă
Nota 1 pentru tema de acasă, sau cum schimbă AI regulile în școli - 11 ore în urmă
De ce tot mai multe țări aleg taxele mai mici - 12 ore în urmă
Carlos Alcaraz îl învinge pe Novak Djokovic și câștigă primul titlu la Australian Open - 12 ore în urmă
Lucrare pastorală, culturală și filantropică: Bilanțul Episcopiei Maramureșului și Sătmarului pe anul 2025 - 12 ore în urmă
Solidaritate prin artă la Târgu Lăpuș: Ateliere caritabile de confecționat mărțișoare pentru sprijinirea unui copil cu sindrom Down - 13 ore în urmă
Băimărenii cu dizabilități vor primi compensații de până la 500 de lei pentru plata impozitelor - 13 ore în urmă
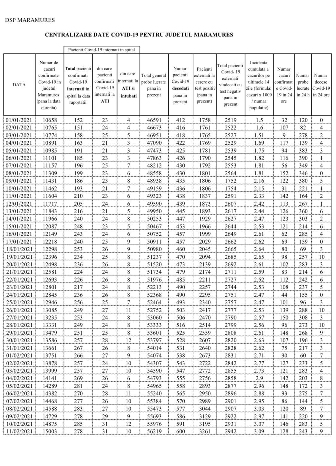
Coronavirus, 11 februarie: S-a ajuns la 600 decese în Maramureș (încă 9)! În județ, în total, 15.002 cazuri de la început (126 noi)
Maramureșul a ajuns la un total de 15.002 cazuri de COVID-19 de la începutul pandemiei. Asta după ce s-au înregistrat încă 126 noi cazuri în 24 de ore. Din păcate, s-a înregistrat și 9 decese, numărul ajungând la 600. La nivel județean, incidența de cazuri la mia de locuitori a ajuns la 3,12, locul al doilea după Timiș. La nivel național, vorbim despre 2.644 cazuri de infectare într-o singură zi.
Referitor la cele 126 noi cazuri, acestea sunt din tot județul. Vorbim despre unul dintre cele mai mari număr de noi cazuri confirmate în 24 de ore, de la începutul pandemiei. În ceea ce privește decesele cu numerele 592-600, este vorba despre șase bărbați, câte unul din categoriile de vârstă 50-59 de ani, 60-69 de ani și 70-79 de ani și trei din categoria de vârstă de 80 de ani și peste și trei femei, două din categoria de vârstă 70-79 de ani și una din categoria de vârstă de 80 de ani și peste, cu toții cu comorbidități. Incidența de cazuri la mia de locuitori a ajuns la 3,12, deci județul se află în scenariul roșu, fiind pe locul doi după județul Timiș. Statistica actualizată a DSP Maramureș, aferentă situației epidemiologice din județ, o regăsiți la finalul materialului. Aici ar fi de făcut o precizare: în cifrele comunicate de Centrul Județean de Coordonare și Conducere a Intervenției, conform protocolului național, apar doar pacienții internați la ATI la spitalul-suport COVID-19, adică Spitalul de Pneumoftiziologie din Baia Mare. În cifrele comunicate de DSP apare totalul de pacienți internați pe secțiile ATI din județ, adică pe lângă cei internați în spitalul-suport, și cei aflați pe secțiile-tampon ATI de la Spitalul Județean Baia Mare și Spitalul Municipal Sighetu Marmației.
Centrul Județean de Coordonare și Conducere a Intervenției deține următoarele informații cu privire la situația epidemiologică:
15002 persoane infectate cu SARS-CoV-2 de la începutul pandemiei;
126 persoane confirmate în ultimele 24 de ore;
2942 pacienți vindecați;
278 pacienți internați în spital;
16 pacienți internați la ATI, din care 3 pacienți intubați;
3261 pacienți externați la cerere cu test pozitiv până în prezent;
2592 persoane carantinate la domiciliu sau în locația declarată;
56219 teste efectuate până în prezent;
1339 persoane izolate la domiciliu sau în locația declarată;
600 persoane decedate de la începutul pandemiei;
Menționăm că toate datele sunt în dinamică și că pot suferi modificări.
În Maramureș, echipaje mixte alcătuite din polițiști, jandarmi, polițiști de frontieră și polițiști locali au executat, în ultimele 24 de ore, la nivelul unităților administrativ-teritoriale, în sistem integrat, 82 de misiuni. Cele 93 de efective angrenate în misiuni au acționat pentru menținerea ordinii și siguranței publice, la verificarea respectării de către persoane a măsurii de carantinare/izolare la domiciliu sau în locația declarată, la verificarea respectării de către societățile comerciale și persoanele fizice autorizate a interdicțiilor impuse prin legislația în vigoare, la respectarea normelor de igienă, de protecție individuală și distanța fizică de protecție sanitară. La TELVERDE 0800 800 165 s-a primit o sesizare referitoare la nerespectarea măsurilor de protecție individuală care este în verificare la instituțiile abilitate. Au fost utilizate 34 mijloace de mobilitate pentru executarea misiunilor. În perioada executării misiunilor au fost depistate, identificate și sancționate contravențional patru persoane care nu au respectat măsurile de protecție individuală. Au fost verificați cu privire la respectarea măsurilor stabilite în perioadă stării de alertă peste 50 de agenți economici. S-au aplicat, în context, sancțiuni contravenționale în valoare de peste 12000 lei. Comitetul Județean pentru Situații de Urgență Maramureș solicită cetățenilor să respecte normele stabilite de autorități în perioada stării de alertă, să păstreze distanța fizică de protecție sanitară, măsurile de igienă și de conduită sanitară stabilite de către specialiști. Este important ca fiecare dintre noi să avem o conduită socială și un comportament responsabil, să conștientizăm că acțiunile noastre îi pot afecta pe ceilalți și să respectăm deciziile autorităților pentru prevenirea, limitarea și răspândirea infecțiilor cu noul Coronavirus. Mulțumim tuturor celor care au înțeles că numai împreună vom reuși să depășim această perioadă!
DirectMM.ro

















