Doar un egal acasă și CS Minaur rămâne pe locul 6 - 10 minute în urmă
3 mai, Ziua Mondială a Libertății Presei - 41 minute în urmă
Prognoza meteo Maramureș, duminică 3 mai 2026 - 2 ore în urmă
Aur pentru o maramureșeancă la Olimpiada sportului liceal militar - 12 ore în urmă
Campania Educațională „Hai la liceu!” a ajuns și la elevii din Remetea Chioarului - 15 ore în urmă
Pilier din Georgia pentru „zimbri” - 15 ore în urmă
Val de premii obținute de elevii Colegiului Economic „Nicolae Titulescu” la concursurile școlare de chimie - 16 ore în urmă
Sesiunea Internațională de Comunicări Științifice Studențești „Nord- perspective interdisciplinare” revine cu ediția a VIII-a, la Facultatea de Litere - 17 ore în urmă
George Simion participă mâine la Sâmbra Oilor din Satu Mare - 18 ore în urmă
Activități dedicate insectelor la Centrul Comunitar Multifuncțional din Baia Mare - 18 ore în urmă
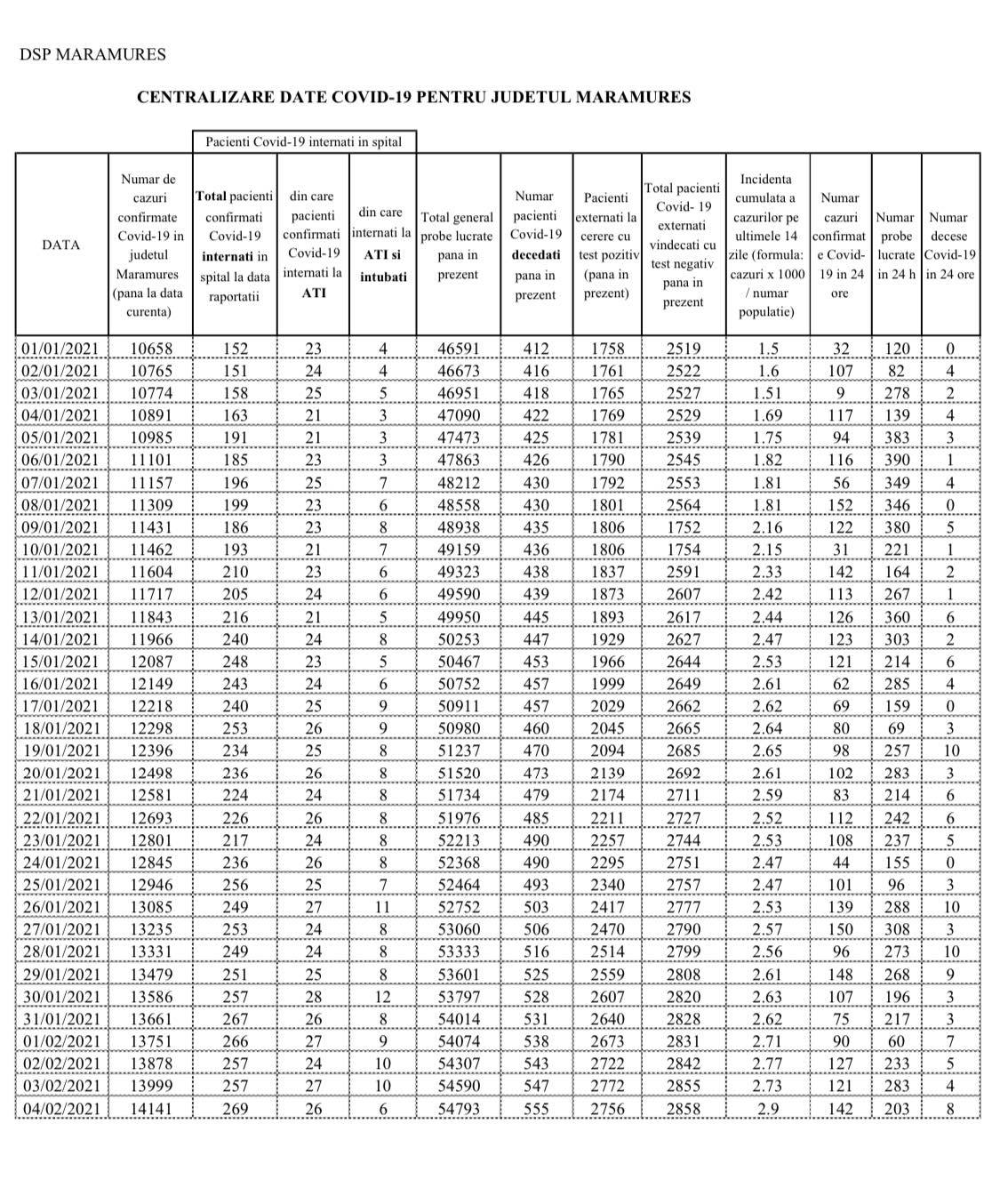
Coronavirus, 4 februarie 2021: S-a ajuns la 553 decese în Maramureș (încă 6)! În județ, în total, 14.132 cazuri de la început (184 noi)
Maramureșul a ajuns la un total de 14.132 cazuri de COVID-19 de la începutul pandemiei. Asta după ce s-au înregistrat încă 184 noi cazuri în 24 de ore. Din păcate, s-a înregistrat și 6 decese, numărul ajungând la 553. La nivel județean, incidența de cazuri la mia de locuitori a ajuns la 2,9. La nivel național, vorbim despre 2.668 cazuri de infectare într-o singură zi.
Referitor la cele 184 noi cazuri, acestea sunt din tot județul. În ceea ce privește decesele cu numerele 548-553, este vorba despre trei bărbați din categoriile de vârstă 60-69 de ani, 70-79 de ani și de 80 de ani și peste și trei femei, două din categoria de vârstă 70-79 de ani și una din categoria de vârstă de 80 de ani și peste, cu toții cu comorbidități. Incidența de cazuri la mia de locuitori a ajuns la 2,9, deci județul se află în scenariul galben. Statistica actualizată a DSP Maramureș, aferentă situației epidemiologice din județ, o regăsiți la finalul materialului. Aici ar fi de făcut o precizare: în cifrele comunicate de Centrul Județean de Coordonare și Conducere a Intervenției, conform protocolului național, apar doar pacienții internați la ATI la spitalul-suport COVID-19, adică Spitalul de Pneumoftiziologie din Baia Mare. În cifrele comunicate de DSP apare totalul de pacienți internați pe secțiile ATI din județ, adică pe lângă cei internați în spitalul-suport, și cei aflați pe secțiile-tampon ATI de la Spitalul Județean Baia Mare și Spitalul Municipal Sighetu Marmației.
Centrul Județean de Coordonare și Conducere a Intervenției deține următoarele centralizate informații referitoare la situația epidemiologică:
14132 persoane infectate cu SARS-CoV-2 de la începutul pandemiei;
184 persoane confirmate în ultimele 24 de ore;
2858 pacienți vindecați;
269 pacienți internați în spital;
13 pacienți internați la ATI, din care 1 pacient intubat;
2776 pacienți externați la cerere cu test pozitiv până în prezent;
2438 persoane carantinate la domiciliu sau în locația declarată;
54793 teste efectuate până în prezent;
1193 persoane izolate la domiciliu sau în locația declarată;
553 persoane decedate de la începutul pandemiei;
Menționăm că toate datele sunt în dinamică și că pot suferi modificări.
În Maramureș, în ultimele 24 de ore, structurile teritoriale ale Ministerului Afacerilor Interne și polițiștii locali au executat, pe raza unităților administrativ-teritoriale, în sistem integrat 88 de misiuni. Cele 121 efective angrenate au procedat la verificarea respectării măsurilor de protecție individuală, la verificarea respectării măsurilor de către societățile comerciale și persoanele fizice autorizate, la menținerea ordinii și siguranței publice, la respectarea măsurii de carantinare/izolare de către persoanele aflate în locațiile declarate. În executarea misiunilor au fost utilizate 43 mijloace de mobilitate. La TELVERDE 0800 800 165 s-au primit două sesizări cu privire la nerespectarea măsurilor de protecție individuală care sunt în verificare de către instituțiile abilitate. Pe perioada executării misiunilor au fost depistate, identificate și sancționate șase persoane care nu au respectat măsurile de protecție individuală. S-au verificat cu privire la respectarea măsurilor stabilite în perioada stării de alertă peste 60 de agenți economici. Au fost aplicate, în context, sancțiuni contravenționale în valoare de peste 12000 lei. Comitetul Județean pentru Situații de Urgență Maramureș solicită cetățenilor să respecte normele stabilite de autorități în perioada stării de alertă, distanța fizică de protecție sanitară și măsurile de igienă stabilite de către specialiști. Este important ca fiecare dintre noi să avem o conduită și un comportament responsabil, să conștientizăm că acțiunile noastre îi pot afecta pe ceilalți și să respectăm deciziile autorităților pentru limitarea și răspândirea infecțiilor cu noul Coronavirus. Mulțumim tuturor celor care au înțeles că numai împreună vom reuși să depășim această perioadă!
DirectMM.ro










