Prognoza meteo Maramureș, duminică 3 mai 2026 - 36 minute în urmă
Aur pentru o maramureșeancă la Olimpiada sportului liceal militar - 11 ore în urmă
Campania Educațională „Hai la liceu!” a ajuns și la elevii din Remetea Chioarului - 14 ore în urmă
Pilier din Georgia pentru „zimbri” - 14 ore în urmă
Val de premii obținute de elevii Colegiului Economic „Nicolae Titulescu” la concursurile școlare de chimie - 14 ore în urmă
Sesiunea Internațională de Comunicări Științifice Studențești „Nord- perspective interdisciplinare” revine cu ediția a VIII-a, la Facultatea de Litere - 16 ore în urmă
George Simion participă mâine la Sâmbra Oilor din Satu Mare - 16 ore în urmă
Activități dedicate insectelor la Centrul Comunitar Multifuncțional din Baia Mare - 17 ore în urmă
Elev din Sighetu Marmației, calificat cu punctaj maxim în etapa națională a Concursului Național de Cultură și Civilizație Britanică - 17 ore în urmă
Elevi premiați la Concursul de cultură și educație financiar-contabilă - 18 ore în urmă
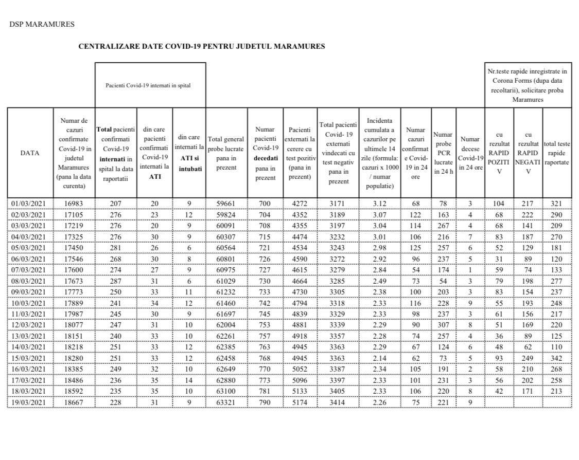
Coronavirus, 19 martie 2021: S-a ajuns la 790 decese în Maramureș (încă 9)! În județ, în total, 18.667 cazuri de la început (75 noi)
Maramureșul a ajuns la un total de 18.667 cazuri de COVID-19 de la începutul pandemiei. Asta după ce s-au înregistrat încă 75 noi cazuri în 24 de ore. Din păcate, s-a înregistrat și 9 decese, numărul ajungând la 790. La nivel județean, incidența de cazuri la mia de locuitori a ajuns la 2,26. La nivel național, vorbim despre 5.593 cazuri de infectare într-o singură zi.
Referitor la cele 75 noi cazuri, acestea sunt din tot județul. În ceea ce privește decesele cu numerele 782-790, este vorba despre șase bărbați, din care doi din categoria de vârstă 60-69 de ani, trei din categoria de vârstă 70-79 de ani și unul din categoria de vârstă de 80 de ani și peste, și trei femei, din care una din categoria de vârstă 70-79 de ani și două din categoria de vârstă de 80 de ani și peste, cu toții cu comorbidități. Incidența de cazuri la mia de locuitori a ajuns la 2,26, deci județul se află în scenariul galben. Statistica actualizată a DSP Maramureș, aferentă situației epidemiologice din județ, o regăsiți la finalul materialului. Aici ar fi de făcut o precizare: în cifrele comunicate de Centrul Județean de Coordonare și Conducere a Intervenției, conform protocolului național, apar doar pacienții internați la ATI la spitalul-suport COVID-19, adică Spitalul de Pneumoftiziologie din Baia Mare. În cifrele comunicate de DSP apare totalul de pacienți internați pe secțiile ATI din județ, adică pe lângă cei internați în spitalul-suport, și cei aflați pe secțiile-tampon ATI de la Spitalul Județean Baia Mare și Spitalul Municipal Sighetu Marmației.
Centrul Județean de Coordonare și Conducere a Intervenției deține următoarele informații cu privire la situația epidemiologică:
18667 persoane infectate cu SARS-CoV-2 de la începutul pandemiei;
75 persoane confirmate în ultimele 24 de ore;
3414 pacienți vindecați;
228 pacienți internați în spital;
10 pacienți internați la ATI, 0 pacienți intubați;
5174 pacienți externați la cerere cu test pozitiv până în prezent;
1903 persoane carantinate la domiciliu sau în locația declarată;
63321 teste efectuate până în prezent;
985 persoane izolate la domiciliu sau în locația declarată;
790 persoane decedate de la începutul pandemiei;
Menționăm că toate datele sunt în dinamică și că pot interveni modificări.
În Maramureș, echipaje mixte alcătuite din polițiști, jandarmi, polițiști de frontieră și polițiști locali au executat, în ultimele 24 de ore, la nivelul unităților administrativ-teritoriale, în sistem integrat, 77 de misiuni. Cele 83 de efective angrenate în misiuni au acționat pentru menținerea ordinii și siguranței publice, la verificarea respectării de către persoane a măsurii de carantinare/izolare la domiciliu sau în locația declarată, la verificarea respectării de către societățile comerciale și persoanele fizice autorizate a interdicțiilor impuse prin legislația în vigoare, la respectarea normelor de igienă, de protecție individuală și distanța fizică de protecție sanitară. La TELVERDE 0800 800 165 s-a primit o sesizare referitoare la nerespectarea măsurilor de protecție individuală care este în verificare la instituțiile abilitate. Au fost utilizate 29 mijloace de mobilitate pentru executarea misiunilor. În perioada executării misiunilor au fost depistate, identificate și sancționate trei persoane care nu au respectat măsurile de protecție individuală. Au fost verificați cu privire la respectarea măsurilor stabilite în perioadă stării de alertă peste 60 de agenți economici. S-au aplicat, în context, sancțiuni contravenționale în valoare de peste 15000 lei. Comitetul Județean pentru Situații de Urgență Maramureș solicită cetățenilor să respecte normele stabilite de autorități în perioada stării de alertă, să păstreze distanța fizică de protecție sanitară, măsurile de igienă și de conduită sanitară stabilite de către specialiști. Este important ca fiecare dintre noi să avem o conduită socială și un comportament responsabil, să conștientizăm că acțiunile noastre îi pot afecta pe ceilalți și să respectăm deciziile autorităților pentru prevenirea, limitarea și răspândirea infecțiilor cu noul Coronavirus. Mulțumim tuturor celor care au înțeles că numai împreună vom reuși să depășim această perioadă!
DirectMM.ro








