Prognoza meteo Maramureș, duminică 3 mai 2026 - 36 minute în urmă
Aur pentru o maramureșeancă la Olimpiada sportului liceal militar - 11 ore în urmă
Campania Educațională „Hai la liceu!” a ajuns și la elevii din Remetea Chioarului - 14 ore în urmă
Pilier din Georgia pentru „zimbri” - 14 ore în urmă
Val de premii obținute de elevii Colegiului Economic „Nicolae Titulescu” la concursurile școlare de chimie - 14 ore în urmă
Sesiunea Internațională de Comunicări Științifice Studențești „Nord- perspective interdisciplinare” revine cu ediția a VIII-a, la Facultatea de Litere - 16 ore în urmă
George Simion participă mâine la Sâmbra Oilor din Satu Mare - 16 ore în urmă
Activități dedicate insectelor la Centrul Comunitar Multifuncțional din Baia Mare - 17 ore în urmă
Elev din Sighetu Marmației, calificat cu punctaj maxim în etapa națională a Concursului Național de Cultură și Civilizație Britanică - 17 ore în urmă
Elevi premiați la Concursul de cultură și educație financiar-contabilă - 18 ore în urmă
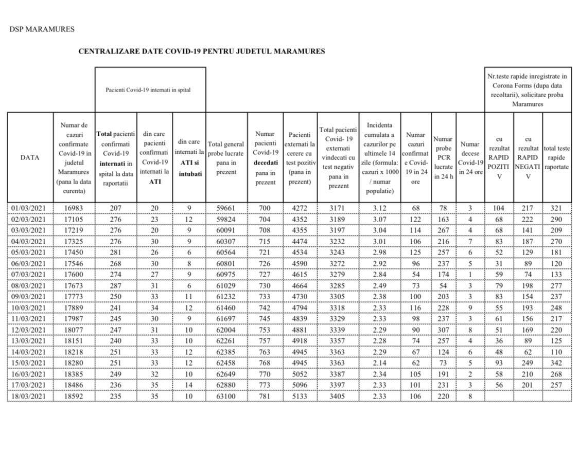
Coronavirus, 18 martie 2021: S-a ajuns la 781 decese în Maramureș (încă 8)! În județ, în total, 18.592 cazuri de la început (106 noi)
Maramureșul a ajuns la un total de 18.592 cazuri de COVID-19 de la începutul pandemiei. Asta după ce s-au înregistrat încă 106 noi cazuri în 24 de ore. Din păcate, s-a înregistrat și 8 decese, numărul ajungând la 781. La nivel județean, incidența de cazuri la mia de locuitori a ajuns la 2,33. La nivel național, vorbim despre 6.174 cazuri de infectare într-o singură zi.
Referitor la cele 106 noi cazuri, acestea sunt din tot județul. În ceea ce privește decesele cu numerele 774-781, este vorba despre trei bărbați, din care doi din categoria de vârstă 70-79 de ani și unul din categoria de vârstă de 80 de ani și peste, și cinci femei, din care câte una din categoriile de vârstă 60-69 de ani și 70-79 de ani și trei din categoria de vârstă de 80 de ani și peste, cu toții cu comorbidități. Incidența de cazuri la mia de locuitori a ajuns la 2,33, deci județul se află în scenariul galben. Statistica actualizată a DSP Maramureș, aferentă situației epidemiologice din județ, o regăsiți la finalul materialului. Aici ar fi de făcut o precizare: în cifrele comunicate de Centrul Județean de Coordonare și Conducere a Intervenției, conform protocolului național, apar doar pacienții internați la ATI la spitalul-suport COVID-19, adică Spitalul de Pneumoftiziologie din Baia Mare. În cifrele comunicate de DSP apare totalul de pacienți internați pe secțiile ATI din județ, adică pe lângă cei internați în spitalul-suport, și cei aflați pe secțiile-tampon ATI de la Spitalul Județean Baia Mare și Spitalul Municipal Sighetu Marmației.
Centrul Județean de Coordonare și Conducere a Intervenției deține următoarele informații cu privire la situația epidemiologică:
18592 persoane infectate cu SARS-CoV-2 de la începutul pandemiei;
106 persoane confirmate în ultimele 24 de ore;
3405 pacienți vindecați;
235 pacienți internați în spital;
10 pacienți internați la ATI, 0 pacienți intubați;
5133 pacienți externați la cerere cu test pozitiv până în prezent;
1890 persoane carantinate la domiciliu sau în locația declarată;
63100 teste efectuate până în prezent;
983 persoane izolate la domiciliu sau în locația declarată;
781 persoane decedate de la începutul pandemiei;
Menționăm că toate datele sunt în dinamică și că pot interveni modificări.
În Maramureș, structurile teritoriale ale Ministerului Afacerilor Interne și polițiștii locali au executat, în sistem integrat, 85 de misiuni, pe raza județului, în ultimele 24 de ore. Au fost angrenate 97 de efective pentru verificarea respectării măsurilor de protecție individuală (purtarea măștii de protecție în spații închise, păstrarea distanței fizice de protecție sanitară, igienizarea frecventă a mâinilor), pentru menținerea ordinii și siguranței publice, pentru verificarea respectării măsurilor de către societățile comerciale și persoanele fizice autorizate, verificarea respectării măsurilor de către persoanele carantinate/izolate în locația declarată. În executarea misiunilor au fost utilizate 34 mijloace de mobilitate. Pe perioada executării misiunilor au fost identificate două persoane care nu au respectat măsurile de protecție individuală, dar și o persoană care nu a respectat măsura de carantinare în locația declarată. La TELVERDE 0800 800 165 s-au primit două sesizări referitoare la nerespectarea măsurilor de protecție individuală care sunt în verificare de către instituțiile abilitate. S-au verificat pentru respectarea măsurilor stabilite în această perioadă peste 50 de agenți economici. S-au aplicat, în context, sancțiuni contravenționale în valoare de peste 4500 lei. Comitetul Județean pentru Situații de Urgență Maramureș solicită cetățenilor să respecte normele stabilite de autorități în perioada stării de alertă, distanța fizică de protecție sanitară și măsurile de igienă stabilite de către specialiști. Este important ca fiecare dintre noi să avem o conduită socială și un comportament responsabil, să conștientizăm că acțiunile noastre îi pot afecta pe ceilalți și să respectăm deciziile autorităților pentru prevenirea, limitarea și răspândirea infecțiilor cu noul Coronavirus. Mulțumim tuturor celor care au înțeles că numai împreună vom reuși să depășim această perioadă!
DirectMM.ro








