Doar un egal acasă și CS Minaur rămâne pe locul 6 - 10 minute în urmă
3 mai, Ziua Mondială a Libertății Presei - 41 minute în urmă
Prognoza meteo Maramureș, duminică 3 mai 2026 - 2 ore în urmă
Aur pentru o maramureșeancă la Olimpiada sportului liceal militar - 12 ore în urmă
Campania Educațională „Hai la liceu!” a ajuns și la elevii din Remetea Chioarului - 15 ore în urmă
Pilier din Georgia pentru „zimbri” - 15 ore în urmă
Val de premii obținute de elevii Colegiului Economic „Nicolae Titulescu” la concursurile școlare de chimie - 16 ore în urmă
Sesiunea Internațională de Comunicări Științifice Studențești „Nord- perspective interdisciplinare” revine cu ediția a VIII-a, la Facultatea de Litere - 17 ore în urmă
George Simion participă mâine la Sâmbra Oilor din Satu Mare - 18 ore în urmă
Activități dedicate insectelor la Centrul Comunitar Multifuncțional din Baia Mare - 18 ore în urmă
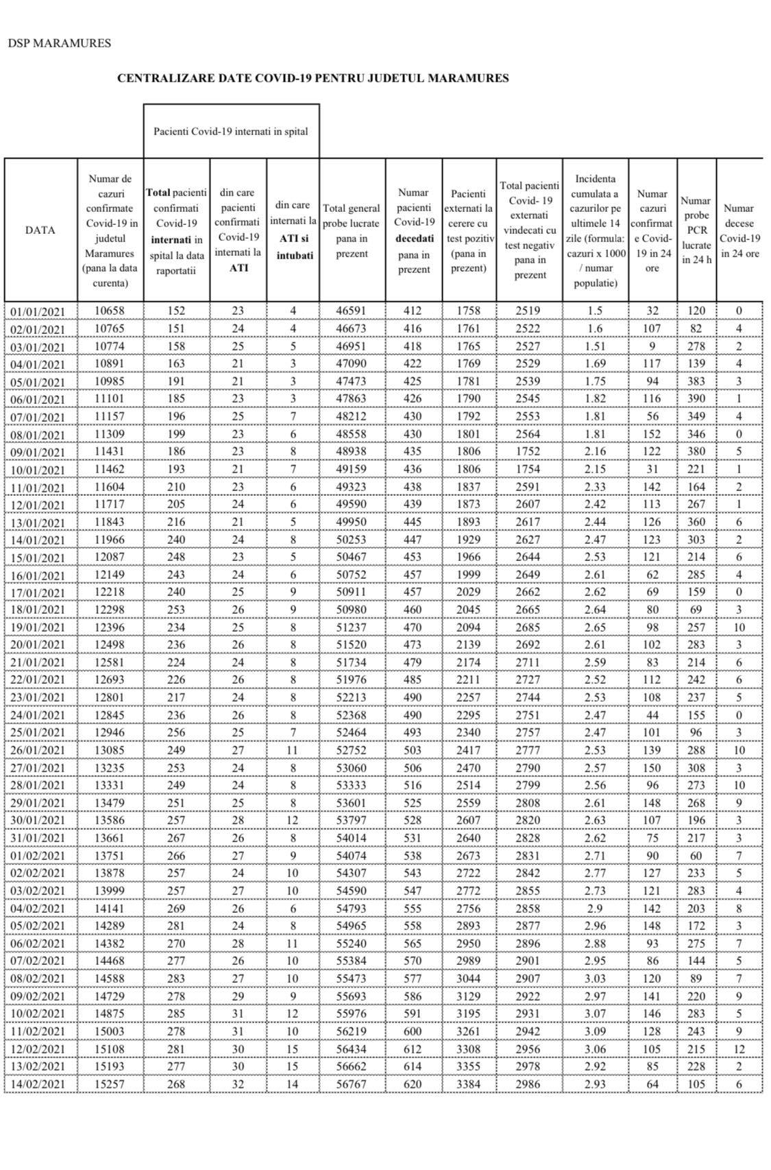
Coronavirus, 14 februarie 2021: S-a ajuns la 620 decese în Maramureș (încă 6)! În județ, în total, 15.257 cazuri de la început (104 noi)
Maramureșul a ajuns la un total de 15.257 cazuri de COVID-19 de la începutul pandemiei. Asta după ce s-au înregistrat încă 104 noi cazuri în 24 de ore. Din păcate, s-a înregistrat și 6 decese, numărul ajungând la 620. La nivel județean, incidența de cazuri la mia de locuitori a ajuns la 2,97, locul al doilea după Timiș. La nivel național, vorbim despre 1.872 cazuri de infectare într-o singură zi.
Referitor la cele 104 noi cazuri, acestea sunt din tot județul. În ceea ce privește decesele cu numerele 615-620, este vorba despre patru bărbați, doi din categoria de vârstă 70-79 de ani și doi din categoria de vârstă de 80 de ani și peste și două femei din categoriile de vârstă 60-69 de ani și 70-79 de ani, cu toții cu comorbidități. Incidența de cazuri la mia de locuitori a ajuns la 2,97, deci județul se află în scenariul galben, fiind, în continuare, pe locul doi după județul Timiș. Statistica actualizată a DSP Maramureș, aferentă situației epidemiologice din județ, o regăsiți la finalul materialului. Aici ar fi de făcut o precizare: în cifrele comunicate de Centrul Județean de Coordonare și Conducere a Intervenției, conform protocolului național, apar doar pacienții internați la ATI la spitalul-suport COVID-19, adică Spitalul de Pneumoftiziologie din Baia Mare. În cifrele comunicate de DSP apare totalul de pacienți internați pe secțiile ATI din județ, adică pe lângă cei internați în spitalul-suport, și cei aflați pe secțiile-tampon ATI de la Spitalul Județean Baia Mare și Spitalul Municipal Sighetu Marmației.
La Centrul Județean de Coordonare și Conducere a Intervenției sunt centralizate următoarele informații referitoare la situația epidemiologică:
15257 persoane infectate cu SARS-CoV-2 de la începutul pandemiei;
104 persoane confirmate în ultimele 24 de ore;
2986 pacienți vindecați;
268 pacienți internați în spital;
17 pacienți internați la ATI, din care 5 pacienți intubați;
3384 pacienți externați la cerere cu test pozitiv până în prezent;
2645 persoane carantinate la domiciliu sau în locația declarată;
56767 teste efectuate până în prezent;
1275 persoane izolate la domiciliu sau în locația declarată;
620 persoane decedate de la începutul pandemiei;
Menționăm că toate datele sunt în dinamică și că pot suferi modificări.
În Maramureș, echipaje mixte alcătuite din polițiști, jandarmi, polițiști de frontieră și polițiști locali au executat, în ultimele 24 de ore, la nivelul unităților administrativ-teritoriale, în sistem integrat, 81 de misiuni. Cele 96 de efective angrenate au acționat pentru menținerea ordinii și siguranței publice, la verificarea respectării de către persoane a măsurii de carantinare/izolare la domiciliu sau în locația declarată, la verificarea respectării de către societățile comerciale și persoanele fizice autorizate a interdicțiilor impuse prin legislația în vigoare, la respectarea normelor de igienă, de protecție individuală și distanța fizică de protecție sanitară. La TELVERDE 0800 800 165 s-au primit trei sesizări cu privire la nerespectarea măsurilor de protecție individuală care sunt în verificare la instituțiile abilitate. Au fost utilizate 32 mijloace de mobilitate pentru executarea misiunilor. În perioada executării misiunilor au fost depistate, identificate și sancționate contravențional opt persoane care nu au respectat măsurile de protecție individuală, dar și trei persoane care nu au respectat măsura de carantinare în locația declarată. Au fost verificați cu privire la respectarea măsurilor stabilite în perioadă stării de alertă peste 50 de agenți economici. S-au aplicat, în context, sancțiuni contravenționale în valoare de peste 18000 lei. Comitetul Județean pentru Situații de Urgență Maramureș solicită cetățenilor să respecte normele stabilite de autorități în perioada stării de alertă, să păstreze distanța fizică de protecție sanitară, măsurile de igienă și de conduită sanitară stabilite de către specialiști. Este important ca fiecare dintre noi să avem o conduită socială și un comportament responsabil, să conștientizăm că acțiunile noastre îi pot afecta pe ceilalți și să respectăm deciziile autorităților pentru prevenirea, limitarea și răspândirea infecțiilor cu noul Coronavirus. Mulțumim tuturor celor care au înțeles că numai împreună vom reuși să depășim această perioadă!
DirectMM.ro










